ROZPORZĄDZENIE
MINISTRA OBRONY NARODOWEJ
z dnia 25 lipca 2016 r.
w sprawie wypłaty odprawy mieszkaniowej
z dnia 25 lipca 2016 r. (Dz.U. z 2016 r., poz. 1195)
t.j. z dnia 18 marca 2025 r. (Dz.U. z 2025 r., poz. 336)
Na podstawie art. 47 ust. 7 ustawy z dnia 22 czerwca 1995 r. o zakwaterowaniu Sił Zbrojnych Rzeczypospolitej Polskiej (Dz. U. z 2024 r. poz. 1270) zarządza się, co następuje:
§ 1.[Zakres regulacji] Rozporządzenie określa szczegółowe warunki i tryb wypłaty odprawy mieszkaniowej oraz wzory wniosków składanych w tych sprawach.
§ 2.[Wypłata odprawy mieszkaniowej] Wypłata odprawy mieszkaniowej następuje na rachunek bankowy wskazany przez osobę, o której mowa w art. 23 ust. 1 lub 3 ustawy z dnia 22 czerwca 1995 r. o zakwaterowaniu Sił Zbrojnych Rzeczypospolitej Polskiej lub w art. 17 ustawy z dnia 22 stycznia 2010 r. o zmianie ustawy o zakwaterowaniu Sił Zbrojnych Rzeczypospolitej Polskiej oraz niektórych innych ustaw (Dz. U. poz. 143 oraz z 2015 r. poz. 1322), w terminie do 30 dni od dnia, w którym decyzja o jej wypłacie stała się ostateczna.
§ 3. [Wzór wniosku o wypłatę odprawy mieszkaniowej] 1. Wzór wniosku o wypłatę odprawy mieszkaniowej żołnierzowi zawodowemu jest określony w załączniku nr 1 do rozporządzenia.
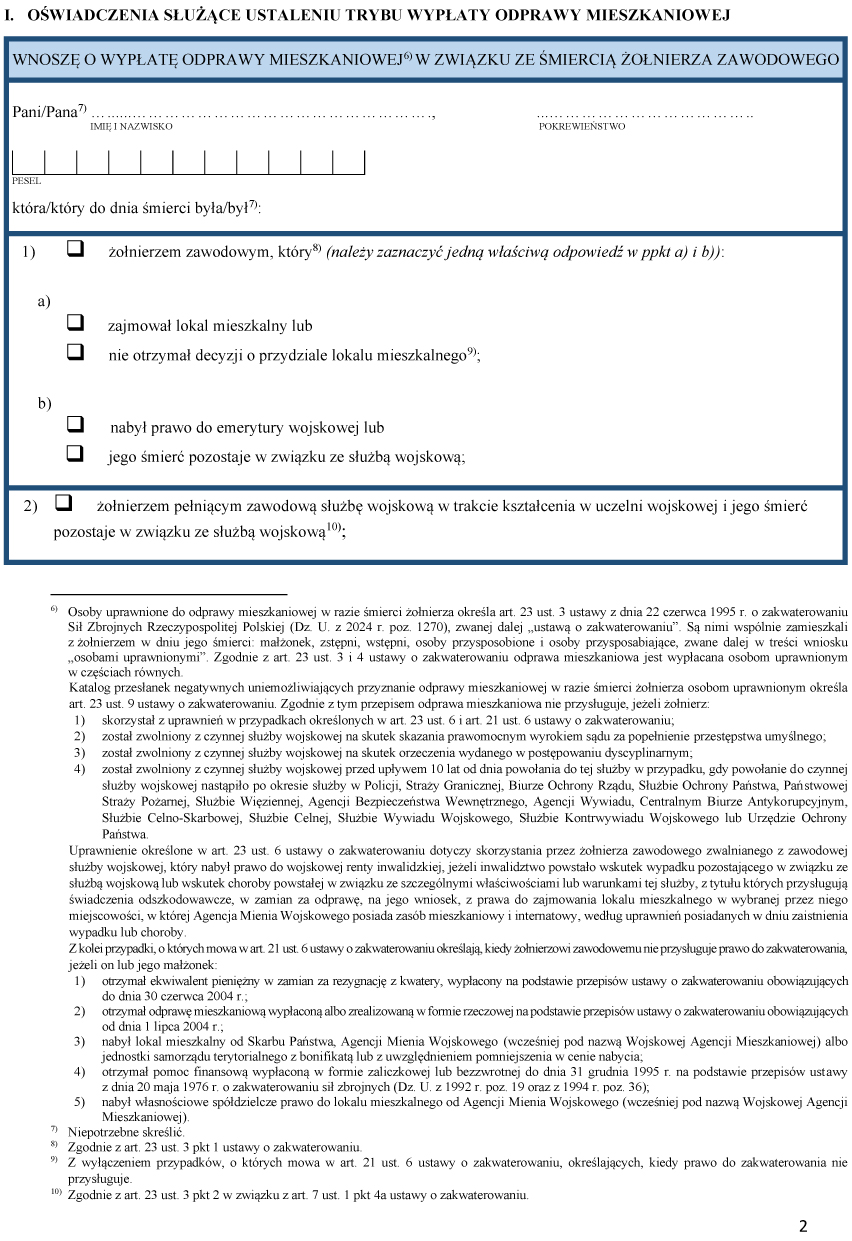
2. Wzór wniosku o wypłatę odprawy mieszkaniowej w przypadku śmierci żołnierza zawodowego jest określony w załączniku nr 2 do rozporządzenia.
§ 4. [Wejście w życie] Rozporządzenie wchodzi w życie po upływie 14 dni od dnia ogłoszenia.1)
1) Niniejsze rozporządzenie było poprzedzone rozporządzeniem Ministra Obrony Narodowej z dnia 9 czerwca 2010 r. w sprawie warunków i trybu wypłaty odprawy mieszkaniowej (Dz. U. poz. 775), które na podstawie art. 136 ust. 2 ustawy z dnia 10 lipca 2015 r. o Agencji Mienia Wojskowego (Dz. U. z 2016 r. poz. 614) utraciło moc z dniem wejścia w życie niniejszego rozporządzenia.
Załączniki do rozporządzenia Ministra Obrony Narodowej
z dnia 25 lipca 2016 r. (Dz. U. z 2025 r. poz. 336)
Załącznik nr 1
WZÓR - WNIOSEK O WYPŁATĘ ODPRAWY MIESZKANIOWEJ ŻOŁNIERZOWI ZAWODOWEMU








Załącznik nr 2
WZÓR - WNIOSEK O WYPŁATĘ ODPRAWY MIESZKANIOWEJ W PRZYPADKU ŚMIERCI ŻOŁNIERZA ZAWODOWEGO







Konsultanci pracują od poniedziałku do piątku w godzinach 8:00 - 17:00
