ROZPORZĄDZENIE
MINISTRA SPRAW WEWNĘTRZNYCH I ADMINISTRACJI1)
z dnia 9 lipca 2025 r.
w sprawie warunków organizowania oraz wymagań, jakie powinny spełniać miejsca doraźnego schronienia
Na podstawie art. 115 ust. 1 pkt 3 ustawy z dnia 5 grudnia 2024 r. o ochronie ludności i obronie cywilnej (Dz. U. poz. 1907) zarządza się, co następuje:
§ 1.[Zakres przedmiotowy] Rozporządzenie określa warunki organizowania miejsc doraźnego schronienia oraz wymagania, jakie powinny spełniać miejsca doraźnego schronienia, zwane dalej „mds”.
§ 2. [Warunek zorganizowania mds] 1. Warunkiem zorganizowania mds jest dokonanie przez terytorialny organ ochrony ludności:
1) wytypowania obiektu budowlanego do sprawdzenia możliwości zorganizowania w nim mds;
2) oceny faktycznego stanu technicznego obiektu budowlanego i jego instalacji na podstawie przeprowadzonej wizji lokalnej obiektu budowlanego lub terenu oraz analizy dokumentacji projektowej oraz związanej z bieżącym utrzymaniem obiektu budowlanego, w tym związanej z prowadzeniem robót, przekazaniem obiektu budowlanego do użytkowania, utrzymaniem i użytkowaniem obiektu budowlanego, o których mowa w art. 81c ust. 1 pkt 1 ustawy z dnia 7 lipca 1994 r. - Prawo budowlane (Dz. U. z 2025 r. poz. 418), a także na podstawie oceny technicznej lub ekspertyzy, w szczególności o których mowa w art. 81c ust. 2 ustawy z dnia 7 lipca 1994 r. - Prawo budowlane;
3) oceny możliwości zorganizowania w obiekcie budowlanym mds.
2. W przypadku pozytywnej oceny możliwości zorganizowania mds terytorialny organ ochrony ludności zapewnia opracowanie dokumentacji określającej zakres rozwiązań niezbędnych w celu przystosowania wytypowanych obiektów budowlanych albo ich części do pełnienia funkcji obiektu zbiorowej ochrony oraz na jej podstawie określa wykaz prac niezbędnych do wykonania po otrzymaniu nakazu przystosowania, o którym mowa w art. 102 ust. 2 pkt 1 ustawy z dnia 5 grudnia 2024 r. o ochronie ludności i obronie cywilnej.
§ 3. [Miejsca, w których organizuje się mds] Mds organizuje się w obiektach budowlanych albo ich częściach:
1) w których jest możliwe spełnienie wymagań określonych w § 5-8;
2) co do których nie zostało wydane pozwolenie na rozbiórkę albo na przebudowę powodujące niespełnienie wymagań określonych w § 5-8 oraz w których nie zostały ujawnione uszkodzenia konstrukcji nośnej mogące stanowić zagrożenie dla ich bezpiecznego użytkowania;
3) znajdujących się w odległości nie większej niż 500 m od miejsc stałego przebywania ludzi;
4) umożliwiających schronienie się co najmniej 15 osobom, przy określeniu pojemności zgodnie z § 9;
5) nieznajdujących się w posiadaniu jednostek przewidzianych do militaryzacji i zmilitaryzowanych;
6) które nie zostały przeznaczone do przechowywania dóbr kultury III kategorii.
§ 4.[Tymczasowa zmiana organizacji obiektów] W przypadku obiektów, których wykorzystanie na potrzeby mds będzie wymagało tymczasowej zmiany organizacji ich użytkowania w celu zapewnienia w nich bezpieczeństwa, właściwy organ ochrony ludności organizuje w nich mds po konsultacji z ich zarządcami, w tym z zarządcami infrastruktury drogowej, kolejowej i zarządcami metra.
§ 5.[Wymogi dotyczące obiektu] Do zorganizowania w obiekcie budowlanym mds może być wytypowany obiekt, który ma konstrukcję zaprojektowaną i wykonaną zgodnie z wymaganiami określonymi w załączniku nr 1 do rozporządzenia albo wykonaną z elementów konstrukcyjnych przystosowanych zgodnie z wymaganiami określonymi w załączniku nr 2 do rozporządzenia.
§ 6. [Zabezpieczenia przeciwpożarowe] 1. Mds organizuje się tak, aby ograniczona była możliwość powstania w nim pożaru, a w przypadku jego wystąpienia ograniczone było rozprzestrzenianie się ognia i dymu we wnętrzu mds, a także zapewniona była możliwość ewakuacji ludzi lub ich uratowania w inny sposób.
2. W mds zapewnia się rozwiązania pozwalające na ewakuację osób znajdujących się w nim lub ich uratowanie w inny sposób:
1) w przypadku pomieszczenia lub zespołu pomieszczeń w budynku lub w budowli spełniającej funkcję użytkową budynku, posiadających podłogę zagłębioną poniżej przylegającego do nich terenu o co najmniej 1,5 m lub znajdujących się na kondygnacji podziemnej lub w garażu podziemnym zapewnia się:
a) co najmniej jedno wyjście ewakuacyjne na każde rozpoczęte 200 osób pojemności mds oraz
b) co najmniej jedno wyjście zapasowe na każde rozpoczęte 400 osób pojemności mds, jeżeli pojemność mds jest większa niż 30 osób;
2) w przypadku tunelu - zapewnia się co najmniej dwa wyjścia oddalone od siebie o co najmniej 15 m umożliwiające ewakuację na zewnątrz lub co najmniej jedno wyjście zapasowe.
3. Wyjście ewakuacyjne i droga służąca do ewakuacji:
1) umożliwia ewakuację osób na zewnątrz obiektu budowlanego bezpośrednio lub drogami służącymi do ewakuacji o szerokości nie mniejszej niż 0,8 m;
2) ma drzwi o szerokości w świetle ościeżnicy nie mniejszej niż 0,8 m i wysokości w świetle ościeżnicy nie mniejszej niż 1,8 m;
3) ma drzwi oraz drogi służące do ewakuacji o szerokości obliczonej proporcjonalnie do liczby osób, do których ewakuacji służą, przyjmując co najmniej 0,4 m na 100 osób.
4. Wyjście zapasowe:
1) jest zlokalizowane poza strefą prognozowanego zagruzowania;
2) ma wymiary w świetle otworu lub przekroju poprzecznego nie mniejsze niż 0,6 m szerokości i 0,8 m wysokości, a w przypadku gdy wymiarem charakterystycznym jest średnica - nie mniejsze niż 0,8 m;
3) umożliwia ewakuację osób na zewnątrz obiektu przy wykorzystaniu wyjść oraz dróg innych niż służące jako wejścia i drogi dojścia do mds, z wyjątkiem przypadku, gdy wejście jest zlokalizowane poza strefą prognozowanego zagruzowania.
5. W przypadku braku możliwości zlokalizowania wyjścia zapasowego poza strefą prognozowanego zagruzowania, w szczególności gdy odległości między budynkami są mniejsze od odległości określających strefę prognozowanego zagruzowania, pojemność mds ogranicza się do 300 osób oraz zapewnia się w mds:
1) co najmniej dwa wyjścia ewakuacyjne prowadzące bezpośrednio lub przez przedsionek przeciwpożarowy do co najmniej dwóch klatek schodowych znajdujących się:
a) w częściach nadziemnych budynków oddzielonych od siebie pasem wolnego terenu o szerokości co najmniej 8 m lub
b) od siebie w odległości co najmniej 15 m, lub
2) wyjście ewakuacyjne prowadzące bezpośrednio lub przez przedsionek przeciwpożarowy do jednej klatki schodowej oraz wyjście prowadzące na zewnątrz przez:
a) szyb awaryjny, który:
- jest wykonany z betonu zbrojonego o grubości co najmniej 25 cm,
- ma wymiary w świetle otworu lub przekroju poprzecznego nie mniejsze niż 0,8 m szerokości i 0,8 m wysokości, a w przypadku gdy wymiarem charakterystycznym jest średnica - nie mniejsze niż 0,8 m,
- ma drabinkę lub klamry, trwale zamocowane do konstrukcji szybu,
- ma wyłaz awaryjny o wymiarach w świetle co najmniej 0,6 m × 0,6 m lub średnicę co najmniej 0,6 m, lub
b) wjazd lub wyjazd z garażu - w przypadku pomieszczenia lub zespołu pomieszczeń w garażu znajdującym się powyżej drugiej kondygnacji podziemnej
- które są usytuowane w odległości od siebie nie mniejszej niż 15 m.
6. W przypadku, o którym mowa w ust. 5, mds ma kubaturę netto nie mniejszą niż 30 m3 na osobę.
7. Jako strefę prognozowanego zagruzowania przyjmuje się teren znajdujący się w odległości od ściany zewnętrznej budynku wynoszącej co najmniej 1/3 wysokości budynku.
8. Wysokość budynku mierzy się od uśrednionego poziomu terenu przy ścianie zewnętrznej budynku do górnej powierzchni najwyżej położonego stropu lub najwyżej położonego punktu stropodachu lub konstrukcji przekrycia budynku, przy czym do wysokości nie wlicza się poddaszy o konstrukcji drewnianej.
§ 7. [Zabezpieczenie przed ostrzałem] 1. Mds wyposaża się w rozwiązania zapewniające ochronę przebywających w nim osób przed bezpośrednim ostrzałem z broni małokalibrowej, działaniem odłamków amunicji oraz oderwanych elementów drzwi lub bram prowadzących do mds, w przypadku ich mechanicznego uszkodzenia i wpadnięcia do wnętrza mds na skutek wybuchu.
2. Okna w ścianach zewnętrznych oraz wejścia prowadzące do mds bezpośrednio z zewnątrz zabezpiecza się przed wnikaniem do wnętrza mds odłamków amunicji oraz pocisków z ostrzału z broni małokalibrowej zgodnie z wymaganiami dotyczącymi osłon zabezpieczających okna w ścianach zewnętrznych lub wejścia do miejsca doraźnego schronienia określonymi w załączniku nr 3 do rozporządzenia, lub w przypadku wejść wykonuje się przedsionki ochronne lub stosuje drzwi ochronne.
3. W przypadku pomieszczenia lub zespołu pomieszczeń znajdujących się w garażu podziemnym, część mds, w której przewiduje się przebywanie osób, wyznacza się w odległości co najmniej 20 m od bramy garażowej i oznacza się ją na powierzchni podłogi liniami poziomymi o szerokości 0,08-0,1 m w odstępie od siebie równym szerokości pojedynczej linii od strony:
1) części, w której przewiduje się przebywanie osób - linią w kolorze zielonym;
2) pozostałej części budynku - linią w kolorze pomarańczowym.
§ 8. [Instalacje] 1. W mds, innym niż wolnostojące mds, o którym mowa w § 13, zapewnia się instalacje lub przyłącza instalacyjne umożliwiające dalsze rozprowadzenie instalacji lub podłączenie urządzeń, służące do:
1) zaopatrywania w wodę przeznaczoną do spożycia przez ludzi;
2) odprowadzania lub gromadzenia ścieków;
3) wentylacji i utrzymania w czasie schronienia nie krótszym niż 48 godzin stężenia objętościowego tlenu wynoszącego co najmniej 18 % oraz dwutlenku węgla nie większego niż 2,0 %;
4) dostarczania energii elektrycznej o odpowiednich parametrach technicznych do odbiorników;
5) oświetlenia światłem sztucznym całej powierzchni mds z natężeniem oświetlenia, mierzonym na poziomie podłogi, nie mniejszym niż 50 lx;
6) ogrzewania;
7) odwodnienia stosownie do warunków gruntowo-wodnych;
8) odbioru komunikatów radiowych publicznej radiofonii.
2. Mds o pojemności większej niż 200 osób, w przypadku pomieszczenia lub zespołu pomieszczeń posiadających podłogę zagłębioną poniżej przylegającego do nich terenu o co najmniej 1,5 m oraz znajdujących się na kondygnacji podziemnej lub w garażu podziemnym, wyposaża się w:
1) instalację kanalizacyjną umożliwiającą odprowadzanie ścieków;
2) co najmniej jedno pomieszczenie higieniczno-sanitarne, w którym na każde 75 osób pojemności mds zapewnia się co najmniej jedną umywalkę i miskę ustępową lub ustęp suchy nieskanalizowany, przy czym liczba ustępów suchych nieskanalizowanych w stosunku do misek ustępowych podłączonych do kanalizacji nie może być większa niż 3:1;
3) urządzenia służące do przygotowywania posiłków;
4) urządzenia służące do odcięcia dopływu prądu i wody zainstalowane przy wejściu instalacji do mds.
3. W przypadku mds o pojemności do 200 osób dopuszcza się wykonanie tylko ustępów suchych nieskanalizowanych, przy czym na każde rozpoczęte 50 osób zapewnia się co najmniej jeden ustęp.
4. Kabina ustępowa powinna mieć najmniejszy wymiar poziomy w świetle co najmniej 0,9 m i powierzchnię przed miską ustępową co najmniej 0,6 na 0,9 m w rzucie poziomym, spełniającą również funkcję powierzchni przed umywalką - w przypadku jej zainstalowania w kabinie ustępowej.
5. W mds nie mogą znajdować się instalacje lub urządzenia gazowe, chyba że zapewniono możliwość odcięcia instalacji gazowych zaworami w obrębie mds.
§ 9. [Pojemność mds] 1. Właściwe organy ochrony ludności określają pojemność mds uwzględniając:
1) minimalną powierzchnię użytkową przypadającą na jedną osobę;
2) bezpieczeństwo chronionych osób, w tym:
a) dostępność powietrza w strefie ochronnej przeznaczonej do przebywania osób, przy uwzględnieniu wymagań, o których mowa w § 6 ust. 6 oraz w § 8 ust. 1 pkt 3,
b) przewidywany czas zapewnienia ochrony,
c) liczbę wyjść przeznaczonych do ewakuacji.
2. Przy określaniu pojemności mds uwzględnia się wyłącznie wolną powierzchnię, niezabudowaną, w pomieszczeniu o wysokości co najmniej 2 m, w której nie przewiduje się długotrwałego magazynowania i może zostać przeznaczona dla osób przebywających w mds.
3. Do powierzchni, o której mowa w ust. 2, nie wlicza się powierzchni wydzielonych komórek lokatorskich w piwnicach, a także pomieszczeń technicznych i magazynowych, do których dostęp może być ograniczony.
4. Pojemność mds wyraża się w liczbie osób, które mogą schronić się w mds, przy założeniu, że minimalna powierzchnia wolnej przestrzeni liczona po podłodze przypadająca na jedną osobę to 1,5 m2 oraz 2 m2 na każdą osobę z niepełnosprawnością poruszającą się na wózku inwalidzkim. Ilość miejsca dla osób z niepełnosprawnością poruszających się na wózku inwalidzkim określa się z uwzględnieniem przewidywanych grup osób, korzystających z danego mds.
§ 10. [Przystosowanie przestrzeni do pełnienia funkcji obiektu zbiorowej ochrony] Przystosowanie przestrzeni do pełnienia funkcji obiektu zbiorowej ochrony obejmuje:
1) zapewnienie dostępu do mds, w tym utrzymanie drożności dróg komunikacyjnych stanowiących dojście do pomieszczeń służących schronieniu, w tym dla osób z niepełnosprawnościami;
2) usunięcie pojazdów utrudniających wejście do mds oraz jego opuszczenie wyjściami, w tym zapasowymi, jeżeli są zapewnione, a w przypadku garażu - usunięcie z niego pojazdów;
3) usunięcie zbędnego wyposażenia, w tym palnego, z miejsc przeznaczonych do przebywania osób oraz z wewnętrznych dróg komunikacyjnych, w tym ewakuacyjnych;
4) wykonanie rozwiązań określonych w dokumentacji, o której mowa w § 2 ust. 2, w szczególności wykonanie systemu podpór wzmacniających nośność stropu, z wykorzystaniem podpór przygotowanych przez właściciela lub zarządcę budynku, oraz zabezpieczenie otworów okiennych i wejść, przy użyciu materiałów przygotowanych przez właściciela lub zarządcę budynku albo dostarczonych przez organy ochrony ludności;
5) wykonanie prac naprawczych i konserwacyjnych, niezbędnych dla zapewnienia bezpiecznych warunków eksploatacji mds;
6) oznakowanie mds za pomocą międzynarodowego znaku rozpoznawczego obrony cywilnej oraz napisu „MIEJSCE DORAŹNEGO SCHRONIENIA”;
7) zapewnienie urządzeń i instalacji, o których mowa w § 8, oraz przygotowanie miejsc do siedzenia, odpoczynku lub spania.
§ 11.[Wolnostojące mds] W przypadku braku możliwości zapewnienia wystarczającej liczby miejsc schronienia w mds w istniejących obiektach budowlanych, właściwe organy ochrony ludności organizują mds w drodze wykonania wolnostojących mds przystosowanych do tymczasowego ukrycia ludności.
§ 12. [Warunki zorganizowania wolnostojącego mds] Warunkiem zorganizowania wolnostojącego mds jest dokonanie przez terytorialny organ ochrony ludności:
1) wytypowania obszarów, w których liczba mds w istniejących obiektach budowlanych jest niewystarczająca;
2) na podstawie informacji, o których mowa w pkt 1, wyznaczenie lokalizacji do wykonania wolnostojących mds;
3) ocena możliwości wykonania wolnostojącego mds na podstawie przeprowadzonej wizji lokalnej terenu;
4) wybór konstrukcji i sposobu posadowienia w gruncie lub na poziomie gruntu wolnostojącego mds.
§ 13. [Ograniczenie czasowe korzystania z wolnostojącego mds] 1. Wolnostojące mds jest przeznaczone na krótkotrwałe przebywanie osób do 4 godzin. Dopuszcza się przeznaczenie wolnostojącego mds na przebywanie osób powyżej 4 godzin, jeżeli jest wyposażone w urządzenia i instalacje, o których mowa w § 8, w zależności od jego przewidywanej pojemności, oraz są w nim miejsca do siedzenia, odpoczynku lub spania.
2. Wolnostojące mds wykonuje się w odległości nie większej niż 500 m od miejsca stałego przebywania ludzi, w miejscu, które znajduje się poza strefą zagruzowania budynków oraz poza obszarem narażonym na zalewanie wodami gruntowymi i podtopienia.
3. Pojemność wolnostojącego mds nie może przekraczać 300 osób, a w przypadku okopów - 25 osób.
§ 14. [Formy wolnostojących mds] 1. Wolnostojące mds wykonuje się w szczególności jako:
1) szczeliny przeciwlotnicze;
2) okopy.
2. W zależności od możliwości technicznych, ekonomicznych oraz dostępnych materiałów budowlanych wolnostojące mds wykonuje się z wykorzystaniem elementów prefabrykowanych dostępnych w powszechnej sprzedaży, w szczególności żelbetowych przepustów ramowych, rur kompozytowych dużych średnic, kręgów żelbetowych stosowanych przy budowie systemów wodnokanalizacyjnych lub koszy gabionowych wypełnionych kamieniami.
3. Wolnostojące mds o konstrukcji nadziemnej obsypane nasypem ziemnym lub zbudowane z koszy gabionowych wypełnionych kamieniami stosuje się, jeżeli z powodu niesprzyjających warunków terenowych przygotowanie mds zagłębionego w gruncie jest utrudnione, w szczególności w miejscach możliwych podtopień lub ze względu na istniejące uzbrojenie terenu.
4. Wolnostojące mds wykonane w całości poniżej poziomu gruntu zabezpiecza się przed najechaniem pojazdów mechanicznych i ruchem pieszych.
5. Wejścia w wolnostojących mds osłania się przed bezpośrednim działaniem czynników rażenia.
6. Jeżeli podłoga wolnostojącego mds nie posiada wylewki betonowej, utwardza się ją płytami chodnikowymi, kostką brukową, żwirem, deskami lub w inny dostępny sposób.
7. Wolnostojące mds oznakowuje się za pomocą międzynarodowego znaku rozpoznawczego obrony cywilnej oraz napisu „MIEJSCE DORAŹNEGO SCHRONIENIA”, a także znakami informacyjnymi i bezpieczeństwa, gdy znajduje się blisko dróg lub ciągów dla pieszych.
8. Wolnostojące mds wyposaża się co najmniej w wentylację grawitacyjną zapewniającą skuteczną wymianę powietrza co najmniej 3 m3/h powietrza zewnętrznego dla każdej przebywającej osoby.
§ 15.[Szczeliny przeciwlotnicze] Szczeliny przeciwlotnicze wykonuje się w formie wydłużonych, wąskich i zakrytych wykopów o rzucie łamanym, posiadających trwałą obudowę wykonaną z elementów żelbetowych, betonowych, kompozytowych, murowanych lub podobnych materiałów. W zależności od warunków gruntowych stosuje się zabezpieczenia rozporowe zabezpieczające wykop przed zasypaniem. Szczeliny przeciwlotnicze wykonuje się tak, aby ich wymiary w świetle mieściły się w przedziale 180-220 cm wysokości oraz 140-150 cm szerokości, długość pojedynczego odcinka prostego nie przekraczała 20 m, a kąt załamania pomiędzy odcinkami mieścił się w przedziale 90-120 stopni.
§ 16. [Okopy] Okopy wykonuje się w formie wąskich wykopów o rzucie łamanym, z przykryciem lub bez przykrycia, posiadających tymczasową obudowę wykonaną z drewnianego szalunku, worków wypełnionych piaskiem lub podobnych materiałów, albo bez obudowy, z zachowaniem kąta stoku naturalnego. Okopy wykonuje się tak, aby ich wymiary w świetle mieściły się w przedziale:
1) w przypadku okopów oszalowanych:
a) wysokość: 150-220 cm,
b) szerokość u podstawy: 80-100 cm,
c) szerokość na wysokości zadaszenia: 100-120 cm;
2) w przypadku okopów bez szalunku i przykrycia, wykorzystujących kąt stoku naturalnego:
a) wysokość: 140 cm,
b) szerokość u podstawy: 80 cm,
c) szerokość na poziomie gruntu: 200 cm.
§ 17.[Wejście w życie] Rozporządzenie wchodzi w życie po upływie 14 dni od dnia ogłoszenia.
Minister Spraw Wewnętrznych i Administracji: wz. W. Leśniakiewicz
1) Minister Spraw Wewnętrznych i Administracji kieruje działem administracji rządowej - sprawy wewnętrzne, na podstawie § 1 ust. 2 pkt 2 rozporządzenia Prezesa Rady Ministrów z dnia 16 maja 2024 r. w sprawie szczegółowego zakresu działania Ministra Spraw Wewnętrznych i Administracji (Dz. U. poz. 738).
Załączniki do rozporządzenia Ministra Spraw Wewnętrznych i Administracji
z dnia 9 lipca 2025 r. (Dz. U. poz. 932)
Załącznik nr 1
WYMAGANIA DOTYCZĄCE PROJEKTOWANIA KONSTRUKCJI W SPOSÓB UMOŻLIWIAJĄCY ZORGANIZOWANIE MIEJSC DORAŹNEGO SCHRONIENIA
1. Konstrukcja obiektu budowlanego albo jego części zaprojektowana w sposób umożliwiający zorganizowanie mds odpowiada Polskim Normom dotyczącym projektowania i obliczania konstrukcji oraz spełnia następujące wymagania:
1) zapewnia zachowanie stanu granicznego nośności we wszystkich elementach konstrukcyjnych przy odziaływaniu obliczeniowego obciążenia wyjątkowego Ad o wartości co najmniej 10 kN/m2 oraz
2) w przypadku usytuowania w strefie prognozowanego zagruzowania od budynku mającego więcej niż dwie kondygnacje nadziemne - zapewnia zachowanie stanu granicznego nośności we wszystkich elementach konstrukcyjnych przy odziaływaniu obciążenia wyjątkowego od zagruzowania o wartości Ad wynoszącej:
a) w przypadku budynków o konstrukcji szkieletowej lub w technologii wielkiej płyty - co najmniej 10 kN/m2 powiększone o wartość 2,5 kN/m2 na każdą kondygnację powyżej drugiej kondygnacji nadziemnej,
b) w przypadku budynków o konstrukcji innej niż określona w pkt 1 - co najmniej 10 kN/m2 powiększone o wartość co najmniej 5 kN/m2 na każdą kondygnację powyżej drugiej kondygnacji nadziemnej.
2. Obciążenie wyjątkowe od zagruzowania przyjmuje się jako pionowe obciążenie statyczne, równomiernie rozłożone na całej powierzchni stropu mds.
3. W celu zapewnienia wymaganej nośności stropu na oddziaływania wyjątkowe od zagruzowania dopuszcza się uwzględnienie systemu podpór tymczasowych, jeżeli:
1) ciężar pojedynczego elementu w systemie podporowym jest nie większy niż 50 kg;
2) strop ma zaprojektowane i wyznaczone miejsca do zamocowania systemu podporowego;
3) rozstaw między podporami jest nie mniejszy niż 2,5 m.
Załącznik nr 2
WYMAGANIA DOTYCZĄCE ELEMENTÓW KONSTRUKCYJNYCH PRZYSTOSOWANYCH DLA POTRZEB MIEJSC DORAŹNEGO SCHRONIENIA
1. Elementy konstrukcyjne w pomieszczeniach lub zespołach pomieszczeń, posiadających podłogę zagłębioną poniżej przylegającego do nich terenu o co najmniej 1,5 m lub znajdujących się na kondygnacji podziemnej lub w garażu podziemnym mają:
1) strop:
a) żelbetowy o wytrzymałości odpowiadającej klasie co najmniej C25/30 o grubości:
- co najmniej 0,2 m - w przypadku mds usytuowanego poza strefą prognozowanego zagruzowania albo usytuowanego pod budynkiem niskim lub w strefie prognozowanego zagruzowania od budynku niskiego,
- co najmniej 0,25 m - w przypadku mds zlokalizowanego pod budynkiem średniowysokim lub w strefie prognozowanego zagruzowania od takiego budynku,
- co najmniej 0,3 m - w przypadku mds zlokalizowanego pod budynkiem wysokim lub wysokościowym lub w strefie prognozowanego zagruzowania od takich budynków, lub
b) murowany o grubości co najmniej 0,5 m - w przypadku budowli fortyfikacyjnych, usytuowanych poza strefą prognozowanego zagruzowania, lub
c) murowany o grubości co najmniej 0,25 m - w przypadku umocnionych budowli ziemnych (szczelin przeciwlotniczych) o szerokości w świetle nie większej niż 1,5 m, usytuowanych poza strefą prognozowanego zagruzowania, lub
d) betonowy prefabrykowany o grubości co najmniej 0,15 m - w przypadku umocnionych budowli ziemnych (szczelin przeciwlotniczych) o szerokości w świetle nie większej niż 1,5 m, usytuowanych poza strefą prognozowanego zagruzowania;
2) ściany nośne żelbetowe lub z betonu zbrojonego o grubości co najmniej 20 cm lub murowane z cegły pełnej, bloczków silikatowych pełnych lub bloczków betonowych pełnych o grubości co najmniej 24 cm;
3) ściany zewnętrzne bez okien lub z oknami przystosowanymi do zabezpieczenia, spełniającymi następujące warunki:
a) łączna powierzchnia otworów okiennych w części ściany ponad poziomem terenu jest nie większa niż 30 % powierzchni tej części ściany,
b) powierzchnia każdego otworu okiennego w ścianie jest nie większa niż 2 m2,
c) odległość między otworami okiennymi jest nie mniejsza niż 0,4 m;
4) podpory wzmacniające nośność stropu na obciążenie wyjątkowe od zagruzowania, jeżeli:
a) mds jest usytuowane w strefie prognozowanego zagruzowania,
b) rozpiętość stropu nad mds jest większa niż 3 m,
c) nie zweryfikowano obliczeniowo, że konstrukcja zapewnia spełnienie warunku zachowania stanu granicznego nośności we wszystkich elementach konstrukcyjnych przy oddziaływaniu wyjątkowym od zagruzowania, o którym mowa w załączniku nr 1 do rozporządzenia;
5) system podpór wzmacniających nośność stropu wykonany na podstawie dokumentacji określającej zakres rozwiązań niezbędnych w celu przystosowania wytypowanych obiektów budowlanych albo ich części do pełnienia funkcji obiektu zbiorowej ochrony.
2. Elementy konstrukcyjne lub konstrukcja tunelu są:
1) wykonane z żelbetu lub betonu zbrojonego o grubości co najmniej 25 cm lub
2) wykonane z masywu skalnego i osłonięte warstwą skały o grubości co najmniej 1 m, lub
3) osłonięte warstwami gruntu o grubości co najmniej 2 m.
Załącznik nr 3
WYMAGANIA DOTYCZĄCE OSŁON ZABEZPIECZAJĄCYCH OKNA W ŚCIANACH ZEWNĘTRZNYCH LUB WEJŚCIA DO MIEJSCA DORAŹNEGO SCHRONIENIA
1. Osłona przy oknie w ścianie zewnętrznej lub przy wejściu prowadzącym do mds bezpośrednio z zewnątrz jest wykonana w sposób zabezpieczający przed wnikaniem do wnętrza mds odłamków amunicji oraz ma grubość hE co najmniej 25 cm, którą w zależności od rodzaju materiału lub konstrukcji oraz liczby warstw ochronnych oblicza się według wzoru:

gdzie:
hi- grubość i-tej warstwy ochronnej o wartości minimalnej nie mniejszej niż hmin,
Rx - współczynnik redukcyjny i-tej warstwy ochronnej.
2. Współczynniki redukcyjne Rx oraz wartości minimalne grubości hmin określa tabela:
| Lp. | Rodzaj materiału lub konstrukcji | Współczynnik redukcyjny Rx | Minimalna grubość warstwy ochronnej hmin [cm] | |
| 1 | 2 | 3 | 4 | |
| 1 | żelbet lub beton o wytrzymałości odpowiadającej klasie | C16/20 | 0,917 | 12 |
| 2 | C20/25 | 0,943 | ||
| 3 | C25/30 | 1 | ||
| 4 | C30/37 | 1,032 | ||
| 5 | C35/40 | 1,1 | ||
| 6 | C40/50 | 1,138 | ||
| 7 | mur z cegły pełnej lub z bloczków silikatowych pełnych, na zaprawie cementowej lub cementowo-wapiennej | 0,703 | ||
| 8 | stal | 3,667 | 0,6 | |
| 9 | piasek lub glina piaszczysta | 0,267 | 501) | |
| 10 | piasek gliniasty | 0,228 | ||
| 11 | grunt o nieznanych parametrach | 0,189 | ||
| 1) W przypadku więcej niż jednej warstwy ochronnej z gruntu dopuszcza się stosowanie pojedynczej warstwy o grubości co najmniej 10 cm, jeżeli łączna grubość warstw gruntu jest nie mniejsza niż 50 cm. | ||||
3. Osłona przy oknie w ścianie zewnętrznej mds usytuowana bezpośrednio przy oknie ma szerokość S nie mniejszą niż obliczona według wzoru:

gdzie:
hi - grubość i-tej warstwy ochronnej o wartości minimalnej nie mniejszej niż hmin,
A - szerokość otworu okiennego.

Rysunek 1. Szerokość osłony usytuowanej bezpośrednio przy oknie w ścianie zewnętrznej mds (rzut).
4. Osłona przy oknie w ścianie zewnętrznej mds odsunięta na odległość L od tego okna ma szerokość S nie mniejszą niż określona na podstawie kąta 45° według zasady przedstawionej na poniższym rysunku:

Rysunek 2. Szerokość osłony odsuniętej od okna w ścianie zewnętrznej mds (rzut).
5. Górna krawędź osłony przy oknie w ścianie zewnętrznej mds znajduje się nad górną krawędzią otworu okiennego w odległości od niej nie mniejszej niż grubość osłony hE, o której mowa w ust. 1.


Rysunek 3. Odległość między górną krawędzią osłony przy oknie mds a górną krawędzią otworu okiennego (przekrój).
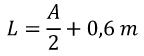
6. Osłona przy wejściu prowadzącym do mds bezpośrednio z zewnątrz jest usytuowana od tego wejścia w odległości L nie mniejszej niż obliczona według wzoru:

gdzie:
A - szerokość otworu drzwiowego.
7. Osłona przy wejściu prowadzącym do mds bezpośrednio z zewnątrz ma szerokość S nie mniejszą niż określona na podstawie kąta 45° według zasady przedstawionej na poniższym rysunku:

Rysunek 4. Odległość osłony odsuniętej od wejścia prowadzącego do mds bezpośrednio z zewnątrz oraz szerokość tej osłony (rzut).
8. Przestrzeń między ścianą zewnętrzną a osłonami okna lub wejścia, o których mowa w ust. 4 i 7, jest przykryta przegrodą zamocowaną z nachyleniem co najmniej 15 % ze spadkiem w kierunku przestrzeni niechronionej, której grubość i sposób wykonania zapewnią odbicie i spadnięcie odłamków amunicji lub innych czynników rażenia.

Rysunek 5. Przekrycie przestrzeni między ścianą zewnętrzną a osłoną okna lub wejścia (przekrój).
Konsultanci pracują od poniedziałku do piątku w godzinach 8:00 - 17:00
