ROZPORZĄDZENIE
MINISTRA OBRONY NARODOWEJ
z dnia 10 maja 2022 r.
w sprawie równoważników pieniężnych przysługujących żołnierzom zawodowym w zamian za umundurowanie i wyekwipowanie niewydane w naturze
z dnia 10 maja 2022 r. (Dz.U. z 2022 r., poz. 1204)
t.j. z dnia 14 października 2025 r. (Dz.U. z 2025 r., poz. 1381)
Na podstawie art. 334 ust. 5 pkt 1 ustawy z dnia 11 marca 2022 r. o obronie Ojczyzny (Dz. U. z 2025 r. poz. 825, 1014 i 1080) zarządza się, co następuje:
§ 1.[Zakres regulacji] Rozporządzenie określa wysokość równoważników pieniężnych przysługujących żołnierzom zawodowym, zwanym dalej „żołnierzami”, w zamian za umundurowanie i wyekwipowanie, niewydane w naturze, w tym za czyszczenie umundurowania i wyekwipowania oraz wykonywanie haftów dla żołnierzy zawodowych - zwanych dalej „równoważnikami” - przypadki i tryb otrzymywania, zmniejszania, wstrzymywania i wznawiania wypłaty równoważników, warunki, tryb i terminy ich wypłacania oraz organy właściwe w tych sprawach.
§ 2. [Obliczanie wysokości równoważników] 1. Wysokość równoważników oblicza się na podstawie norm umundurowania i wyekwipowania określonych w przepisach wydanych na podstawie art. 334 ust. 4 pkt 1 ustawy z dnia 11 marca 2022 r. o obronie Ojczyzny.
2. Równoważniki zmniejsza się o wartość przedmiotów umundurowania i wyekwipowania wydanych w naturze.
3. Równoważniki zmniejsza się o wartość:
1) przyjętą do określenia wysokości równoważników pieniężnych przysługujących za umundurowanie i wyekwipowanie, którego normy należności określono w załączniku nr 1 w zestawach nr 1–4, 9–12 i 17–20 przepisów wydanych na podstawie art. 334 ust. 4 pkt 1 ustawy z dnia 11 marca 2022 r. o obronie Ojczyzny;
2) przedmiotu określonego w załączniku nr 4 przepisów wydanych na podstawie art. 334 ust. 4 pkt 1 ustawy z dnia 11 marca 2022 r. o obronie Ojczyzny.
§ 3. [Wypłacanie równoważnika żołnierzowi zawodowemu] 1. Żołnierzowi zawodowemu, z wyjątkiem studenta w akademii, szkole i uczelni wojskowej, któremu nie wydano:
1) w naturze należnych przedmiotów umundurowania i wyekwipowania, których normy należności określono w załączniku nr 1 w zestawach nr 1–4, 9–12 i 17–20 przepisów wydanych na podstawie art. 334 ust. 4 pkt 1 ustawy z dnia 11 marca 2022 r. o obronie Ojczyzny,
2) munduru polowego, munduru polowego letniego, munduru ćwiczebnego Marynarki Wojennej wzór 2010, munduru ćwiczebnego letniego Marynarki Wojennej wzór 2010, munduru polowego Wojsk Specjalnych oraz munduru polowego letniego Wojsk Specjalnych, których normy należności określono w załączniku nr 1 w zestawach nr 7 (w kolumnach 5–6), 15 (w kolumnach 5–6), 23 (w kolumnach 7–8 i 9–10), 25 (w kolumnach 5–6) oraz 27 (w kolumnach 5–6, 7–8, 9–10 i 17–18) przepisów wydanych na podstawie art. 334 ust. 4 pkt 1 ustawy z dnia 11 marca 2022 r. o obronie Ojczyzny
- wypłaca się równoważnik.
2. Równoważnik, o którym mowa w ust. 1 pkt 1, obejmuje również czyszczenie umundurowania i wyekwipowania.
3. Wysokość równoważnika, o którym mowa w ust. 1 pkt 1, jest określona w załączniku nr 1 do rozporządzenia.
4. Wysokość równoważnika, o którym mowa w ust. 1 pkt 2, jest określona w załączniku nr 9 do rozporządzenia.
5. Żołnierzowi - kobiecie wypłaca się w roku powołania do zawodowej służby wojskowej równoważnik, o którym mowa w ust. 1 pkt 1, w wysokości określonej w załączniku nr 1 do rozporządzenia w wierszu oznaczonym lp. 6.
6. Szeregowemu (marynarzowi) zawodowemu wypłaca się w roku kalendarzowym, w którym upływa mu sześćdziesiąty miesiąc zawodowej służby wojskowej, równoważnik, o którym mowa w ust. 1 pkt 1, w wysokości określonej w załączniku nr 1 do rozporządzenia w wierszu oznaczonym lp. 5 pkt 1.
§ 4. [Wypłacanie równoważnika żołnierzowi mianowanemu na wyższy stopień] 1. Żołnierzowi, z wyjątkiem studenta w akademii, szkole i uczelni wojskowej, mianowanemu na wyższy stopień wojskowy wypłaca się:
1) pułkownikowi (komandorowi) mianowanemu na stopień generała brygady (kontradmirała) - równoważnik na pokrycie wydatków za przedmioty uszyte na miarę oraz wykonanie oznak (haftów) do należnego umundurowania;
2) mianowanemu na wyższy stopień wojskowy inny niż wymieniony w pkt 1 - równoważnik na pokrycie wydatków za wykonanie oznak (haftów) do należnego umundurowania.
2. Wysokość równoważnika dla żołnierzy mianowanych na wyższy stopień wojskowy jest określona w załączniku nr 2 do rozporządzenia.
§ 5. [Wypłacanie równoważnika żołnierzowi zawodowemu] 1. Żołnierzowi zawodowemu, z wyjątkiem studenta w akademii, szkole i uczelni wojskowej, za każdy zakończony rok przedłużenia okresu używalności przedmiotów umundurowania i wyekwipowania, które wskazano w załączniku nr 1 w uwadze nr 6 w zestawie nr 8, uwadze nr 6 w zestawie nr 16, uwadze nr 6 w zestawie nr 24, uwadze nr 5 w zestawie nr 26 oraz uwadze nr 7 w zestawie nr 27 przepisów wydanych na podstawie art. 334 ust. 4 pkt 1 ustawy z dnia 11 marca 2022 r. o obronie Ojczyzny, wypłaca się równoważnik.
2. Równoważnik, o którym mowa w ust. 1, wypłaca się w wysokości rocznej wartości wydanego przedmiotu.
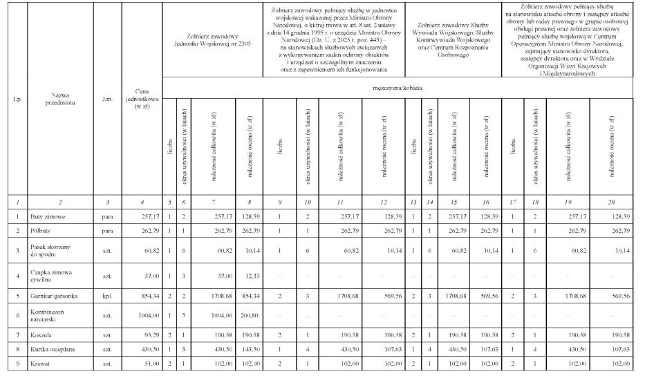
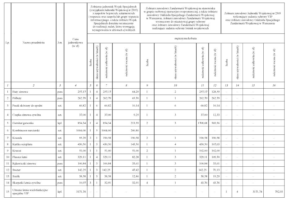
§ 6. [Wypłacanie równoważnika żołnierzowi Jednostki Wojskowej Nr 2305] 1. Żołnierzowi Jednostki Wojskowej Nr 2305 wykonującemu zadania ochrony VIP, któremu nie wydano w naturze należnych przedmiotów umundurowania i wyekwipowania określonych w wierszach oznaczonych lp. 25, 30, 37 i 47 w zestawie nr 27 w załączniku nr 1 do rozporządzenia wydanego na podstawie art. 334 ust. 4 pkt 1 ustawy z dnia 11 marca 2022 r. o obronie Ojczyzny, wypłaca się równoważnik.
2. Równoważnik wypłaca się w wysokości należności:
1) całkowitej - jednorazowo z dniem wyznaczenia na stanowisko służbowe uprawniające do otrzymania wyposażenia dodatkowego ochrony VIP;
2) rocznej - w kolejnych latach służby.
3. Wysokość równoważnika jest określona w załączniku nr 3 do rozporządzenia.
§ 7. [Wypłacanie równoważnika] 1. Żołnierzowi, któremu nie wydano w naturze należnych ubiorów cywilnych, wypłaca się równoważnik.
2. Równoważnik wypłaca się w wysokości należności:
1) całkowitej - z dniem wyznaczenia na pierwsze stanowisko służbowe uprawniające do otrzymania ubiorów cywilnych, a w przypadku żołnierzy zawodowych Żandarmerii Wojskowej wyznaczonych do nieetatowych grup ochrony, żołnierzy zawodowych Oddziału Specjalnego Żandarmerii Wojskowej w Warszawie oraz żołnierzy zawodowych Żandarmerii Wojskowej wykonujących zadania ochrony lotnisk wojskowych z dniem rozpoczęcia po raz pierwszy wykonywania zadań ochronnych;
2) rocznej - w kolejnych latach służby.
3. Wysokość równoważnika za ubiory cywilne niewydane w naturze jest określona w załączniku nr 3 do rozporządzenia.
§ 8. [Wypłacanie równoważnika żołnierzowi studentowi] 1. Żołnierzowi studentowi w akademii, szkole i uczelni wojskowej za przedmioty umundurowania i wyekwipowania niewydane w naturze wypłaca się równoważnik.
2. Wysokość równoważnika dla żołnierza studenta w akademii, szkole i uczelni wojskowej za przedmioty umundurowania i wyekwipowania niewydane w naturze jest określona w załączniku nr 4 do rozporządzenia.
§ 9. [Wypłacanie równoważnika żołnierzowi studentowi] 1. Żołnierzowi studentowi w akademii, szkole i uczelni wojskowej wypłaca się równoważnik za:
1) środki do utrzymania higieny osobistej oraz konserwacji obuwia - od pierwszego dnia służby, a następnie za każdy rozpoczęty miesiąc kalendarzowy;
2) przybory do utrzymania higieny osobistej oraz konserwacji obuwia - od pierwszego dnia służby, a następnie na III i V roku nauki.
2. Za okres do 15 dni kalendarzowych służby w danym miesiącu kalendarzowym wypłaca się połowę równoważnika, o którym mowa w ust. 1 pkt 1.
3. Wysokość równoważnika dla żołnierza studenta w akademii, szkole i uczelni wojskowej za środki do utrzymania higieny osobistej oraz konserwacji obuwia jest określona w załączniku nr 5 do rozporządzenia.
4. Wysokość równoważnika dla żołnierza studenta w akademii, szkole i uczelni wojskowej za przybory do utrzymania higieny osobistej oraz konserwacji obuwia jest określona w załączniku nr 6 do rozporządzenia.
§ 10. [Wypłacanie równoważnika żołnierzowi skierowanemu do pełnienia służby poza granicami państwa] 1. Żołnierzowi skierowanemu do pełnienia służby poza granicami państwa w składzie polskich kontyngentów wojskowych wypłaca się równoważnik za:
1) środki do utrzymania higieny osobistej oraz konserwacji obuwia - od pierwszego dnia służby poza granicami państwa, a następnie za każdy rozpoczęty miesiąc kalendarzowy;
2) przedmioty umundurowania i wyekwipowania, przybory do utrzymania higieny osobistej oraz konserwacji obuwia - jednorazowo za okres wykonywania zadań poza granicami państwa.
2. Równoważnik, o którym mowa w ust. 1 pkt 1, wypłaca się w przypadku możliwości zakupu należnych środków do utrzymania higieny osobistej oraz konserwacji obuwia w rejonie polskiego kontyngentu wojskowego.
3. Za okres do 15 dni kalendarzowych służby poza granicami państwa w składzie polskich kontyngentów wojskowych w danym miesiącu kalendarzowym wypłaca się połowę określonego równoważnika, o którym mowa w ust. 1 pkt 1.
4. Równoważnik, o którym mowa w ust. 1 pkt 2, wypłaca się w kraju przed skierowaniem żołnierza w rejon polskiego kontyngentu wojskowego.
5. Wysokość równoważnika dla żołnierza skierowanego do pełnienia służby poza granicami państwa w składzie polskich kontyngentów wojskowych za środki do utrzymania higieny osobistej oraz konserwacji obuwia jest określona w załączniku nr 7 do rozporządzenia.
6. Wysokość równoważnika dla żołnierza skierowanego do pełnienia służby poza granicami państwa w składzie polskich kontyngentów wojskowych za przedmioty umundurowania i wyekwipowania, przybory do utrzymania higieny osobistej oraz konserwacji obuwia jest określona w załączniku nr 8 do rozporządzenia.
§ 11. [Wypłacanie równoważnika żołnierzowi skierowanemu do pełnienia służby poza granicami państwa w składzie jednostek międzynarodowych NATO i UE] 1. Żołnierzowi skierowanemu do pełnienia służby poza granicami państwa w składzie jednostek międzynarodowych NATO i UE, Partnerstwa dla Pokoju i Organizacji Narodów Zjednoczonych, któremu nie wydano w naturze należnych przedmiotów umundurowania i wyekwipowania określonych w wierszu oznaczonym lp. 24 w zestawie nr 36 oraz w wierszu oznaczonym lp. 15 w zestawie nr 37 w załączniku nr 1 do rozporządzenia wydanego na podstawie art. 334 ust. 4 pkt 1 ustawy z dnia 11 marca 2022 r. o obronie Ojczyzny, wypłaca się równoważnik.
2. Równoważnik wypłaca się w kraju przed skierowaniem żołnierza do pełnienia służby poza granicami państwa według ceny określonej w załączniku nr 8 do rozporządzenia w wierszu oznaczonym lp. 1.
§ 12. [Nieprzysługujące równoważniki] 1. Żołnierzowi korzystającemu z urlopu wychowawczego, urlopu macierzyńskiego, urlopu rodzicielskiego i urlopu na warunkach urlopu macierzyńskiego równoważniki nie przysługują za okres liczony od pierwszego dnia miesiąca kalendarzowego następującego po miesiącu, w którym rozpoczął się urlop, do ostatniego dnia miesiąca kalendarzowego, w którym urlop się zakończył.
2. Po zakończeniu urlopu, o którym mowa w ust. 1, żołnierzowi wypłaca się równoważniki w kwotach proporcjonalnych za okres liczony od pierwszego dnia miesiąca kalendarzowego następującego po miesiącu, w którym zakończył się urlop, do końca okresu, za który równoważniki przysługują.
3. W przypadku wypłaty żołnierzowi równoważników przed rozpoczęciem przez niego urlopu, o którym mowa w ust. 1, równoważniki wypłacane po zakończeniu urlopu zmniejsza się proporcjonalnie do okresu przebywania na urlopie.
§ 13. [Okres przysługiwania równoważnika] 1. Równoważniki, o których mowa w § 3 ust. 1 i § 7 ust. 2 pkt 2, przysługują żołnierzowi za okres od dnia 1 stycznia do dnia 31 grudnia roku kalendarzowego.
2. Równoważniki, o których mowa w ust. 1, zmniejsza się proporcjonalnie do okresu:
1) trwania aresztu tymczasowego;
2) zawieszenia w czynnościach służbowych;
3) odbywania kary pozbawienia wolności lub kary aresztu wojskowego;
4) pozostawania w dyspozycji, jeżeli w tym czasie żołnierz nie wykonywał zadań służbowych.
3. Równoważniki zmniejsza się za okres liczony od pierwszego dnia miesiąca kalendarzowego następującego po miesiącu, w którym zaistniała jedna z okoliczności, o których mowa w ust. 2, do ostatniego dnia miesiąca kalendarzowego, w którym okoliczności te ustały.
4. Żołnierzowi, któremu zmniejszono równoważnik ze względu na okoliczności, o których mowa w ust. 2 pkt 1–3, w stosunku do którego prawomocnie umorzono postępowanie karne lub dyscyplinarne lub który został prawomocnie uniewinniony, wypłaca się wyrównanie do pełnych należnych wysokości równoważnika.
§ 14.[Wypłacenie równoważnika żołnierzowi zwolnionemu z obowiązku przemundurowania] Żołnierzowi, który na podstawie przepisów wydanych na podstawie art. 334 ust. 4 pkt 1 ustawy z dnia 11 marca 2022 r. o obronie Ojczyzny został zwolniony z obowiązku przemundurowania w związku z wyznaczeniem na stanowisko służbowe w jednostce wojskowej rodzaju Sił Zbrojnych, w którym obowiązuje odmienny kolor umundurowania, równoważniki, o których mowa w § 3 ust. 1 i § 4 ust. 1, wypłaca się w wysokości ustalonej dla wzoru umundurowania przez niego noszonego.
§ 15. [Termin na wypłatę równoważników] 1. Równoważniki wypłaca się w terminie do 30 dni kalendarzowych od dnia powstania uprawnienia do ich otrzymania.
2. Równoważniki, o których mowa w § 3 ust. 1, § 5 ust. 1 i § 7 ust. 2 pkt 2, wypłaca się w terminie do końca pierwszego kwartału roku kalendarzowego.
3. W przypadku zmiany miejsca pełnienia służby przez żołnierza zawodowego, powodującego zmianę jednostki budżetowej, na której zaopatrzeniu w dziale mundurowym żołnierz pozostaje, równoważniki, o których mowa w § 3 ust. 1, § 5 ust. 1 i § 7 ust. 2 pkt 2, wypłaca się przed ubyciem żołnierza do nowego miejsca pełnienia służby wojskowej.
§ 16. [Dowódca jednostki budżetowej] 1. Dowódca (szef, komendant) jednostki budżetowej, na której zaopatrzeniu w dziale mundurowym żołnierz pozostaje, jest organem właściwym w sprawach wypłaty równoważników, o których mowa w § 3 ust. 1, § 4 ust. 1, § 5 ust. 1, § 6 ust. 1, § 7 ust. 1, § 8 ust. 1, § 9 ust. 1, § 10 ust. 1 pkt 2 i § 11.
2. Komendant Główny Żandarmerii Wojskowej jest organem właściwym w sprawach wypłaty równoważnika pieniężnego, o którym mowa w § 7, żołnierzom zawodowym pełniącym służbę wojskową na stanowiskach służbowych w Żandarmerii Wojskowej.
§ 17.[Dowódca polskiego kontyngentu wojskowego] Dowódca polskiego kontyngentu wojskowego jest organem właściwym w sprawach wypłaty równoważnika, o którym mowa w § 10 ust. 1 pkt 1.
§ 18.[Szef Służby Kontrwywiadu Wojskowego i Szef Służby Wywiadu Wojskowego] Szef Służby Kontrwywiadu Wojskowego i Szef Służby Wywiadu Wojskowego jest organem właściwym w sprawach wypłaty równoważników odpowiednio dla żołnierzy zawodowych pełniących służbę wojskową na stanowiskach służbowych w Służbie Kontrwywiadu Wojskowego i Służbie Wywiadu Wojskowego.
§ 19. [Dowódca jednostki budżetowej] Dowódca (szef, komendant) jednostki budżetowej, na której zaopatrzeniu w dziale mundurowym żołnierz pozostaje, jest organem właściwym w sprawach wstrzymania wypłaty całości lub części równoważników, o których mowa w § 3 ust. 1, § 7 ust. 1 i § 8 ust. 1, w razie:
1) stwierdzenia cech widocznej utraty wartości użytkowych umundurowania i wyekwipowania lub
2) noszenia przez żołnierza umundurowania i wyekwipowania nieobowiązujących wzorów, lub
3) nieposiadania przez żołnierza należnego umundurowania i wyekwipowania
- do czasu usunięcia tych nieprawidłowości.
§ 20.[Wypłacenie równoważnika żołnierzowi szeregowemu] Żołnierzowi szeregowemu (marynarzowi) zawodowemu, który na podstawie przepisów obowiązujących do dnia 31 grudnia 2020 r. uzyskał uprawnienie do ubiorów galowych i wyjściowych, wypłaca się równoważnik, o którym mowa w § 3 ust. 1 pkt 1, w wysokości określonej w załączniku nr 1 w wierszu oznaczonym lp. 5 pkt 2.
§ 21.[Termin wypłat równoważnika] Równoważnik, o którym mowa w § 5 ust. 1, wypłaca się od dnia 1 stycznia 2023 r. za każdy zakończony rok przedłużenia okresu używalności liczony od dnia 1 stycznia 2022 r.
§ 22. [Wejście w życie] Rozporządzenie wchodzi w życie z dniem następującym po dniu ogłoszenia.1)
1) Niniejsze rozporządzenie było poprzedzone rozporządzeniem Ministra Obrony Narodowej z dnia 15 stycznia 2015 r. w sprawie równoważników pieniężnych przysługujących żołnierzom zawodowym oraz żołnierzom pełniącym służbę kandydacką w zamian za umundurowanie i wyekwipowanie niewydane w naturze (Dz. U. z 2021 r. poz. 1334), które zgodnie z art. 822 ust. 6 ustawy z dnia 11 marca 2022 r. o obronie Ojczyzny (Dz. U. poz. 655 i 974) utraciło moc z dniem wejścia w życie niniejszego rozporządzenia.
Załączniki do rozporządzenia Ministra Obrony Narodowej
z dnia 10 maja 2022 r. (Dz. U. z 2025 r. poz. .1381)
Załącznik nr 1
WYSOKOŚĆ RÓWNOWAŻNIKA PRZYSŁUGUJĄCEGO W ZAMIAN ZA UMUNDUROWANIE I WYEKWIPOWANIE NIEWYDANE W NATURZE, W TYM ZA CZYSZCZENIE UMUNDUROWANIA I WYEKWIPOWANIA


Załącznik nr 2
WYSOKOŚĆ RÓWNOWAŻNIKA DLA ŻOŁNIERZY MIANOWANYCH NA WYŻSZY STOPIEŃ WOJSKOWY


Załącznik nr 3
WYSOKOŚĆ RÓWNOWAŻNIKA ZA PRZEDMIOTY UBIORÓW CYWILNYCH NIEWYDANYCH W NATURZE




Załącznik nr 4
WYSOKOŚĆ RÓWNOWAŻNIKA DLA ŻOŁNIERZA STUDENTA W AKADEMII, SZKOLE I UCZELNI WOJSKOWEJ ZA PRZEDMIOTY UMUNDUROWANIA I WYEKWIPOWANIA NIEWYDANE W NATURZE

Załącznik nr 5
WYSOKOŚĆ RÓWNOWAŻNIKA DLA ŻOŁNIERZA STUDENTA W AKADEMII, SZKOLE I UCZELNI WOJSKOWEJ ZA ŚRODKI DO UTRZYMANIA HIGIENY OSOBISTEJ ORAZ KONSERWACJI OBUWIA

Załącznik nr 6
WYSOKOŚĆ RÓWNOWAŻNIKA DLA ŻOŁNIERZA ZAWODOWEGO STUDENTA W AKADEMII, SZKOLE I UCZELNI WOJSKOWEJ ZA PRZYBORY DO UTRZYMANIA HIGIENY OSOBISTEJ ORAZ KONSERWACJI OBUWIA

Załącznik nr 7
WYSOKOŚĆ RÓWNOWAŻNIKA DLA ŻOŁNIERZA SKIEROWANEGO DO PEŁNIENIA SŁUŻBY POZA GRANICAMI PAŃSTWA W SKŁADZIE POLSKICH KONTYNGENTÓW WOJSKOWYCH ZA ŚRODKI DO UTRZYMANIA HIGIENY OSOBISTEJ ORAZ KONSERWACJI OBUWIA

Załącznik nr 8
WYSOKOŚĆ RÓWNOWAŻNIKA DLA ŻOŁNIERZA SKIEROWANEGO DO PEŁNIENIA SŁUŻBY POZA GRANICAMI PAŃSTWA W SKŁADZIE POLSKICH KONTYNGENTÓW WOJSKOWYCH ZA PRZEDMIOTY UMUNDUROWANIA I WYEKWIPOWANIA, PRZYBORY DO UTRZYMANIA HIGIENY OSOBISTEJ ORAZ KONSERWACJI OBUWIA

Załącznik nr 9
WYSOKOŚĆ RÓWNOWAŻNIKA W ZAMIAN ZA PRZEDMIOTY UMUNDUROWANIA I WYEKWIPOWANIA POLOWEGO I ĆWICZEBNEGO NIEWYDANE W NATURZE

Konsultanci pracują od poniedziałku do piątku w godzinach 8:00 - 17:00
