ROZPORZĄDZENIE
PREZESA RADY MINISTRÓW
z dnia 5 grudnia 2025 r.
w sprawie wzoru wniosku w sprawie wyboru formy zakwaterowania i wniosku o zamianę lokalu mieszkalnego albo kwatery tymczasowej stosowanych w Agencji Wywiadu oraz formy i sposobu składania tych wniosków
Na podstawie art. 102 ust. 19 ustawy z dnia 24 maja 2002 r. o Agencji Bezpieczeństwa Wewnętrznego oraz Agencji Wywiadu (Dz. U. z 2025 r. poz. 902 i 1366) zarządza się, co następuje:
§ 1. Wzór wniosku w sprawie wyboru formy zakwaterowania jest określony w załączniku nr 1 do rozporządzenia.
§ 2. Wzór wniosku o zamianę lokalu mieszkalnego albo kwatery tymczasowej jest określony w załączniku nr 2 do rozporządzenia.
§ 3. 1. Wnioski, o których mowa w § 1 i § 2, funkcjonariusz Agencji Wywiadu składa do właściwego podmiotu, o którym mowa w art. 102a ust. 1 ustawy z dnia 24 maja 2002 r. o Agencji Bezpieczeństwa Wewnętrznego oraz Agencji Wywiadu, osobiście w formie pisemnej w postaci papierowej.
2. Za termin złożenia wniosków uważa się datę wpływu tych wniosków do właściwego podmiotu, o którym mowa w art. 102a ust. 1 ustawy z dnia 24 maja 2002 r. o Agencji Bezpieczeństwa Wewnętrznego oraz Agencji Wywiadu.
§ 4. Rozporządzenie wchodzi w życie z dniem następującym po dniu ogłoszenia.
Prezes Rady Ministrów: D. Tusk
Załączniki do rozporządzenia Prezesa Rady
Ministrów
z dnia 5 grudnia 2025 r. (Dz. U. poz. 1723)
Załącznik nr 1
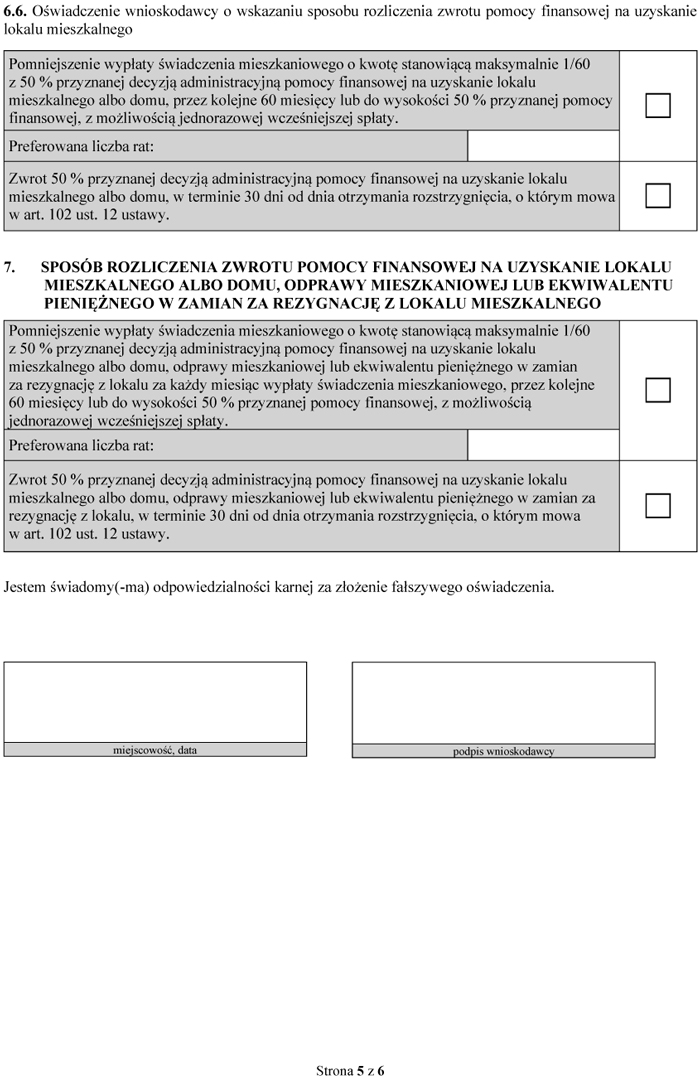
WZÓR - WNIOSEK W SPRAWIE WYBORU FORMY ZAKWATEROWANIA






Załącznik nr 2
WZÓR - WNIOSEK O ZAMIANĘ LOKALU MIESZKALNEGO ALBO KWATERY TYMCZASOWEJ





Konsultanci pracują od poniedziałku do piątku w godzinach 8:00 - 17:00
