ROZPORZĄDZENIE
MINISTRA FINANSÓW I GOSPODARKI1)
z dnia 29 grudnia 2025 r.
w sprawie finansowego wsparcia udzielanego na realizację niektórych przedsięwzięć mieszkaniowych
Na podstawie art. 19 ustawy z dnia 8 grudnia 2006 r. o finansowym wsparciu niektórych przedsięwzięć mieszkaniowych (Dz. U. z 2024 r. poz. 304 oraz z 2025 r. poz. 680 i 1077) zarządza się, co następuje:
Rozdział 1
Przepisy ogólne
§ 1. Rozporządzenie określa dla przedsięwzięć, o których mowa w art. 3–5 i art. 5c ustawy z dnia 8 grudnia 2006 r. o finansowym wsparciu niektórych przedsięwzięć mieszkaniowych, zwanej dalej „ustawą”:
1) szczegółowy zakres informacji, o których mowa w art. 8 ust. 1a ustawy;
2) szczegółowy zakres informacji, o których mowa w art. 13b ust. 7, art. 13c ust. 7, art. 18 ust. 1b oraz art. 22a ust. 4 ustawy;
3) wzór formularza, o którym mowa w art. 18 ust. 2 ustawy;
4) sposób ustalania dopuszczalnej wysokości rekompensaty, o której mowa w art. 5 ust. 5 i art. 13d pkt 1 ustawy, oraz sposób i tryb weryfikowania zgodności jej przyznawania z przepisami prawa Unii Europejskiej dotyczącymi pomocy publicznej z tytułu świadczenia usług w ogólnym interesie gospodarczym.
Rozdział 2
Zakres informacji, jakie zawiera wniosek o finansowe wsparcie, oraz wzór formularza, na którym dokonuje się rozliczenia faktycznie poniesionych kosztów przedsięwzięcia
§ 2. Szczegółowy zakres informacji, jakie zawiera wniosek o finansowe wsparcie, określa załącznik nr 1 do rozporządzenia.
§ 3. Szczegółowy zakres informacji, jakie są dołączane do wniosku o grant MZG, wniosku o grant OZE oraz wniosku o finansowe wsparcie udzielane w ramach planu rozwojowego, określa załącznik nr 2 do rozporządzenia.
§ 4. Szczegółowy zakres informacji, jakie zawiera wniosek o finansowe wsparcie w zakresie aktualizacji, o której mowa w art. 13 ust. 8 ustawy, określa załącznik nr 3 do rozporządzenia.
§ 5. 1. Wzór formularza, na którym dokonuje się rozliczenia faktycznie poniesionych kosztów przedsięwzięcia, określa załącznik nr 4 do rozporządzenia.
2. Informacje dołączane do rozliczenia faktycznie poniesionych kosztów przedsięwzięcia, w przypadku finansowego wsparcia udzielonego wraz z grantem MZG lub w ramach planu rozwojowego, określa załącznik nr 5 do rozporządzenia.
Rozdział 3
Rekompensata z tytułu świadczenia usług publicznych
§ 6. 1. Rekompensata, o której mowa w art. 5 ust. 5 i art. 13d pkt 1 ustawy, stanowi ekwiwalent dotacji brutto finansowego wsparcia, wyliczany przez Bank Gospodarstwa Krajowego, zwany dalej „Bankiem”, zgodnie z rozporządzeniem Rady Ministrów z dnia 11 sierpnia 2004 r. w sprawie szczegółowego sposobu obliczania wartości pomocy publicznej udzielanej w różnych formach (Dz. U. z 2018 r. poz. 461), na dzień zawarcia umowy, o której mowa w art. 5 ust. 2 ustawy.
2. Rekompensata, o której mowa w art. 5 ust. 5 i art. 13d pkt 1 ustawy, nie może przekroczyć kwoty niezbędnej do pokrycia kosztów netto inwestora wynikających ze świadczenia usługi publicznej w ogólnym interesie gospodarczym, z uwzględnieniem rozsądnego zysku.
3. Koszty netto inwestora wynikające ze świadczenia usługi publicznej w ogólnym interesie gospodarczym są obliczane według wzoru:

w którym poszczególne symbole oznaczają:
KN – koszty netto inwestora wynikające ze świadczenia usługi publicznej w ogólnym interesie gospodarczym,
KUOIG – koszty inwestora związane z usługą publiczną świadczoną w ogólnym interesie gospodarczym, o których mowa w art. 5 ust. 7 i 8 ustawy,
PUOIG – przychody inwestora związane z usługą publiczną świadczoną w ogólnym interesie gospodarczym, o których mowa w art. 5 ust. 9 ustawy,
i – i-ty rok okresu, o którym mowa w art. 5 ust. 10 ustawy,
n – ostatni rok okresu, o którym mowa w art. 5 ust. 10 ustawy,
rb – stopa bazowa publikowana przez Komisję Europejską2), obowiązująca na dzień zawarcia umowy, o której mowa w art. 5 ust. 2 ustawy.
4. W przypadku gdy inwestor prowadzi zarówno działalność wchodzącą w zakres usługi publicznej świadczonej w ogólnym interesie gospodarczym, jak i działalność wykraczającą poza ten zakres, w księgach rachunkowych inwestora wykazuje się osobno koszty i przychody związane z usługą publiczną świadczoną w ogólnym interesie gospodarczym oraz koszty i przychody związane z innymi usługami.
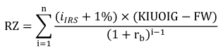
5. Rozsądny zysk inwestora związany ze świadczeniem usługi publicznej w ogólnym interesie gospodarczym jest obliczany według wzoru:

w którym poszczególne symbole oznaczają:
RZ – rozsądny zysk inwestora,
iIRS – stopa swap dla 10-letniego okresu3), obowiązująca na dzień zawarcia umowy, o której mowa w art. 5 ust. 2 ustawy,
KIUOIG – koszty, o których mowa w art. 5 ust. 7 pkt 1 i 7 ustawy,
FW – kwota udzielonego finansowego wsparcia,
i – i-ty rok okresu, o którym mowa w art. 5 ust. 10 ustawy,
n – ostatni rok okresu, o którym mowa w art. 5 ust. 10 ustawy,
rb – stopa bazowa publikowana przez Komisję Europejską2), obowiązująca na dzień zawarcia umowy, o której mowa w art. 5 ust. 2 ustawy.
6. W przypadku gdy w ramach przedsięwzięcia są realizowane lokale mieszkalne, których najem stanowi usługę publiczną rekompensowaną objęciem udziałów lub akcji społecznej inicjatywy mieszkaniowej, do kwoty finansowego wsparcia, o której mowa w ust. 5, dolicza się wsparcie uzyskane z Rządowego Funduszu Rozwoju Mieszkalnictwa, udzielone na podstawie art. 33l ustawy z dnia 26 października 1995 r. o społecznych formach rozwoju mieszkalnictwa (Dz. U. z 2025 r. poz. 1273) w brzmieniu obowiązującym w dniu 21 sierpnia 2025 r.
7. W przypadku gdy w ramach przedsięwzięcia, o którym mowa w art. 5 ust. 1 pkt 1 ustawy, udzielono społecznej inicjatywie mieszkaniowej prawa do korzystania z dokumentacji projektowych z zasobu dokumentacji projektowych, o którym mowa w art. 7g ust. 1 ustawy, do kwoty udzielonego finansowego wsparcia, o której mowa w ust. 5, dolicza się sumę:
1) kwoty wynagrodzenia, o której mowa w art. 7i ust. 1 ustawy, przysługującej w ramach tego przedsięwzięcia oraz
2) łącznej kwoty wydatków Funduszu Dopłat poniesionych na utworzenie i uzupełnienie zasobu dokumentacji projektowych podzielonej przez liczbę projektów w tym zasobie i następnie podzielonej przez liczbę 10.
§ 7. 1. Bank w okresie, o którym mowa w art. 5 ust. 10 ustawy, weryfikuje co dwa lata obrachunkowe oraz na koniec tego okresu zgodność przyznanej rekompensaty z warunkami określonymi w decyzji Komisji z dnia 20 grudnia 2011 r. w sprawie stosowania art. 106 ust. 2 Traktatu o funkcjonowaniu Unii Europejskiej do pomocy państwa w formie rekompensaty z tytułu świadczenia usług publicznych, przyznawanej przedsiębiorstwom zobowiązanym do wykonywania usług świadczonych w ogólnym interesie gospodarczym (Dz. Urz. UE L 7 z 11.01.2012, str. 3).
2. Pierwszą weryfikację poziomu przyznanej rekompensaty za świadczenie usługi publicznej w ogólnym interesie gospodarczym Bank przeprowadza za okres od przekazania środków publicznych inwestorowi do końca roku obrachunkowego następującego po roku przekazania przez beneficjenta wsparcia oświadczenia inwestora o kosztach realizacji przedsięwzięcia.
3. Koszty realizacji przedsięwzięcia poniesione przed dniem przekazania środków publicznych beneficjentowi wsparcia nie podlegają waloryzacji.
4. Weryfikacja poziomu przyznanej rekompensaty za świadczenie usługi publicznej w ogólnym interesie gospodarczym obejmuje okres od przekazania przez beneficjenta wsparcia środków publicznych inwestorowi do końca ostatniego roku obrachunkowego, za który przedstawiono dane, o których mowa w ust. 5.
5. Beneficjent wsparcia przedkłada Bankowi, na podstawie zatwierdzonych sprawozdań finansowych inwestora, dane dotyczące kosztów i przychodów związanych ze świadczeniem usługi publicznej w ogólnym interesie gospodarczym.
6. Bank przy wykorzystaniu danych, o których mowa w ust. 5, określa:
1) wartość rekompensaty za świadczenie usługi publicznej w ogólnym interesie gospodarczym, obliczoną w sposób określony w § 6 ust. 1,
2) poziom kosztów netto, obliczony w sposób określony w § 6 ust. 3,
3) wartość rozsądnego zysku inwestora, obliczoną w sposób określony w § 6 ust. 5
– przypadające na okres, o którym mowa w ust. 4.
7. Bank weryfikuje, czy dla okresu, o którym mowa w ust. 4, jest spełniony warunek, o którym mowa w § 6 ust. 2, obliczany według wzoru:
RUOIG ≤ KN + RZ
w którym poszczególne symbole oznaczają:
RUOIG – rekompensata za świadczenie usługi publicznej w ogólnym interesie gospodarczym; w przypadku gdy w ramach przedsięwzięcia są realizowane lokale mieszkalne, których najem stanowi usługę publiczną rekompensowaną objęciem udziałów lub akcji społecznej inicjatywy mieszkaniowej, do rekompensaty tej zalicza się również rekompensatę związaną ze wsparciem uzyskanym z Rządowego Funduszu Rozwoju Mieszkalnictwa, udzielonym na podstawie art. 33l ustawy z dnia 26 października 1995 r. o społecznych formach rozwoju mieszkalnictwa w brzmieniu obowiązującym w dniu 21 sierpnia 2025 r., w zakresie dotyczącym lokali mieszkalnych realizowanych w ramach przedsięwzięcia z udziałem tego wsparcia, oraz rekompensatę związaną z prawem do korzystania z dokumentacji projektowych, o której mowa w art. 7h ust. 4 ustawy,
KN – koszty netto inwestora wynikające ze świadczenia usługi publicznej w ogólnym interesie gospodarczym,
RZ – rozsądny zysk inwestora.
8. W przypadku stwierdzenia, że warunek, o którym mowa w § 6 ust. 2, obliczony zgodnie z ust. 7 nie został spełniony, Bank weryfikuje, jaki odsetek kwoty średniej rocznej rekompensaty za świadczenie usługi publicznej w ogólnym interesie gospodarczym stanowi nadwyżka.
9. Jeżeli nadwyżka rekompensaty za świadczenie usługi publicznej w ogólnym interesie gospodarczym:
1) nie przekracza 10 % kwoty średniej rocznej tej rekompensaty – zostaje ona przeniesiona na kolejny okres i jest odliczana od kwoty rekompensaty należnej w tym okresie;
2) przekracza 10 % kwoty średniej rocznej tej rekompensaty – beneficjent wsparcia zwraca nadwyżkę do Funduszu Dopłat.
10. W przypadku gdy beneficjent wsparcia dokona zwrotu, o którym mowa w ust. 9 pkt 2, kwota przyznanej rekompensaty za świadczenie usługi publicznej w ogólnym interesie gospodarczym jest pomniejszana o kwotę zwrotu.
Rozdział 4
Przepisy końcowe
§ 8. Traci moc rozporządzenie Ministra Rozwoju i Technologii z dnia 5 lutego 2024 r. w sprawie finansowego wsparcia udzielanego na realizację niektórych przedsięwzięć mieszkaniowych (Dz. U. poz. 379 i 1671).
§ 9. Rozporządzenie wchodzi w życie z dniem 1 stycznia 2026 r.
Minister Finansów i Gospodarki: A. Domański
1) Minister Finansów i Gospodarki kieruje działem administracji rządowej – budownictwo, planowanie i zagospodarowanie przestrzenne oraz mieszkalnictwo, na podstawie § 1 ust. 2 pkt 1 rozporządzenia Prezesa Rady Ministrów z dnia 25 lipca 2025 r. w sprawie szczegółowego zakresu działania Ministra Finansów i Gospodarki (Dz. U. poz. 997).
2) Stopa bazowa obliczana zgodnie z komunikatem Komisji w sprawie zmiany metody ustalania stóp referencyjnych i dyskontowych (2008/C 14/02) (Dz. Urz. UE C 14 z 19.01.2008, str. 6).
3) Stopa swap obliczana dla celów realizacji decyzji Komisji z dnia 20 grudnia 2011 r. w sprawie stosowania art. 106 ust. 2 Traktatu o funkcjonowaniu Unii Europejskiej do pomocy państwa w formie rekompensaty z tytułu świadczenia usług publicznych, przyznawanej przedsiębiorstwom zobowiązanym do wykonywania usług świadczonych w ogólnym interesie gospodarczym (Dz. Urz. UE L 7 z 11.01.2012, str. 3).
Załączniki do rozporządzenia Ministra Finansów i
Gospodarki
z dnia 29 grudnia 2025 r. (Dz. U. poz. 1897)
Załącznik nr 1
SZCZEGÓŁOWY ZAKRES INFORMACJI, JAKIE ZAWIERA WNIOSEK O FINANSOWE WSPARCIE
I. Dane wnioskodawcy
A. Beneficjent wsparcia: gmina, jednoosobowa spółka gminna, której gmina powierzyła realizację zadania własnego w zakresie zaspokajania potrzeb mieszkaniowych wspólnoty samorządowej, z wyjątkiem społecznych inicjatyw mieszkaniowych, albo zadania związanego z infrastrukturą techniczną lub infrastrukturą społeczną, powiat, związek międzygminny, organizacja pozarządowa, o której mowa w art. 3 ust. 2 ustawy z dnia 24 kwietnia 2003 r. o działalności pożytku publicznego i o wolontariacie (Dz. U. z 2025 r. poz. 1338), zwana dalej „organizacją pozarządową”, podmiot, o którym mowa w art. 3 ust. 3 ustawy z dnia 24 kwietnia 2003 r. o działalności pożytku publicznego i o wolontariacie, uczelnia publiczna.
B. Nazwa.
C. Adres, w tym adres do doręczeń elektronicznych1), o którym mowa w ustawie z dnia 18 listopada 2020 r. o doręczeniach elektronicznych (Dz. U. z 2024 r. poz. 1045 i 1841).
D. Numer identyfikacji podatkowej (NIP) oraz numer identyfikacyjny w krajowym rejestrze urzędowym podmiotów gospodarki narodowej (REGON), a dla podmiotów innych niż gmina, powiat, związek międzygminny lub uczelnia publiczna numer KRS.
E. Imię i nazwisko, służbowy numer telefonu oraz służbowy adres poczty elektronicznej osoby bezpośrednio prowadzącej sprawę.
F. W przypadku przedsięwzięć, o których mowa w art. 5 ust. 1 i art. 5c ust. 2 ustawy z dnia 8 grudnia 2006 r. o finansowym wsparciu niektórych przedsięwzięć mieszkaniowych (Dz. U. z 2024 r. poz. 304 oraz z 2025 r. poz. 680 i 1077), zwanej dalej „ustawą” - nazwa, adres, w tym adres do doręczeń elek-tronicznych1), o którym mowa w ustawie z dnia 18 listopada 2020 r. o doręczeniach elektronicznych, numery NIP, REGON i KRS inwestora.
G. Numer rachunku bankowego lub rachunku prowadzonego przez spółdzielczą kasę oszczędnościowo-kredytową beneficjenta wsparcia, na który zostanie przekazane finansowe wsparcie.
II. Dane dotyczące realizowanego przedsięwzięcia
A. Wnioskowana kwota finansowego wsparcia (w przypadku przedsięwzięć, o których mowa w art. 5c ustawy, również w podziale na poszczególne zadania własne gminy wymienione w art. 7 ust. 1 pkt 2, 3, 4-6, 8-10 i 12 ustawy z dnia 8 marca 1990 r. o samorządzie gminnym (Dz. U. z 2025 r. poz. 1153 i 1436) lub zadania publiczne powiatu, o których mowa w art. 4 ust. 1 pkt 1-3, 6-8 i 12 ustawy z dnia 5 czerwca 1998 r. o samorządzie powiatowym (Dz. U. z 2025 r. poz. 1684) (w zł).
B. Informacja, czy wniosek o finansowe wsparcie został złożony łącznie z wnioskiem o grant OZE, z wnioskiem o grant MZG lub wnioskiem o finansowe wsparcie w ramach planu rozwojowego.
C. Data rozpoczęcia realizacji przedsięwzięcia lub przewidywana data rozpoczęcia realizacji przedsięwzięcia (dzień, miesiąc (słownie) i rok).
D. Data zakończenia realizacji przedsięwzięcia lub przewidywana data zakończenia realizacji przedsięwzięcia, a w przypadku przedsięwzięcia obejmującego remont lub przebudowę części budynku w rozbiciu na poszczególne lokale mieszkalne (dzień, miesiąc (słownie) i rok).
E. Przewidywana struktura finansowania przedsięwzięcia, z podziałem na środki własne inwestora (w tym wartość gruntu stanowiącego własność inwestora albo wartość prawa użytkowania wieczystego gruntu będącego we władaniu inwestora, na którym jest realizowane przedsięwzięcie, w przypadku gdy z realizacją przedsięwzięcia jest związane zawarcie umowy, o której mowa w art. 5 ust. 2 pkt 1 ustawy) i środki własne beneficjenta wsparcia, finansowe wsparcie na podstawie ustawy, grant OZE, grant MZG i finansowe wsparcie w ramach planu rozwojowego, wsparcie ze środków Rządowego Funduszu Rozwoju Mieszkalnictwa, udzielone na podstawie art. 33l ustawy z dnia 26 października 1995 r. o społecznych formach rozwoju mieszkalnictwa (Dz. U. z 2025 r. poz. 1273) w brzmieniu obowiązującym w dniu 21 sierpnia 2025 r., oraz inne źródła (kwoty netto i brutto oraz udział procentowy; kwota netto dla grantu OZE, grantu MZG i finansowego wsparcia w ramach planu rozwojowego).
F. W przypadku przedsięwzięć realizowanych na podstawie art. 3 ust. 1 pkt 1, art. 4 ust. 1 pkt 1, art. 4a ust. 1 pkt 1, art. 5 ust. 1 pkt 1 i art. 5c ustawy, informacje o dokumentach potwierdzających prawo do prowadzenia robót budowlanych:
1) jeżeli planowany zakres robót wymaga pozwolenia na budowę lub zezwolenia na realizację inwestycji drogowej - informacje o organie, który wydał decyzję, dacie wydania decyzji i jej numerze, dacie ostateczności lub wykonalności decyzji oraz o danych podmiotu, na który została wydana decyzja;
2) jeżeli planowany zakres robót wymaga zgłoszenia, o którym mowa w art. 30 lub w art. 71 ust. 2 ustawy z dnia 7 lipca 1994 r. - Prawo budowlane (Dz. U. z 2025 r. poz. 418, 1080, 1535, 1673 i 1847) - informacje o dacie zgłoszenia, dacie i numerze zaświadczenia organu administracji architektoniczno-budowlanej o braku podstaw do wniesienia sprzeciwu, o którym mowa w art. 30 ust. 5aa i art. 71 ust. 4c ustawy z dnia 7 lipca 1994 r. - Prawo budowlane, albo zaświadczenia organu administracji architektoniczno-budowlanej o niewniesieniu w terminie sprzeciwu wobec zgłoszenia oraz informacja o organie, który to zaświadczenie wydał, oraz o danych podmiotu zgłaszającego.
G. W przypadku przedsięwzięć realizowanych na podstawie art. 3 ust. 1 pkt 1, art. 4 ust. 1 pkt 1, art. 4a ust. 1 pkt 1 i art. 5c ustawy, informacje o dacie rozpoczęcia przedsięwzięcia wynikającej z dziennika budowy i dacie ostatniego wpisu do dziennika budowy dokonanego przed złożeniem wniosku o finansowe wsparcie - jeżeli dla robót budowlanych wymagane jest prowadzenie dziennika budowy, a roboty budowlane zostały już rozpoczęte.
H. W przypadku przedsięwzięć, o których mowa w art. 3 ust. 1 pkt 5 i 6 i art. 4a ust. 1 pkt 3 ustawy, informacja o:
1) przewidywanej cenie sprzedaży, a jeżeli przedsięwzięcie zostało rozpoczęte przed dniem złożenia wniosku o finansowe wsparcie - informacja o dacie sporządzenia umowy sprzedaży i cenie sprzedaży;
2) wartości gruntu, wynikającej z aktualnego operatu szacunkowego, sporządzonego zgodnie z przepisami ustawy z dnia 21 sierpnia 1997 r. o gospodarce nieruchomościami (Dz. U. z 2024 r. poz. 1145, 1222, 1717 i 1881 oraz z 2025 r. poz. 1077 i 1080).
I. W przypadku przedsięwzięć, o których mowa w art. 3 ust. 1 pkt 5 i 6 ustawy, jeżeli przedmiotem zakupu jest byłe mieszkanie zakładowe, budynek mieszkalny z byłymi mieszkaniami zakładowymi albo udział we współwłasności budynku mieszkalnego, w którym znajdują się byłe mieszkania zakładowe, informacja o:
1) wartości rynkowej nieruchomości, wynikającej z aktualnego operatu szacunkowego, sporządzonego zgodnie z przepisami ustawy z dnia 21 sierpnia 1997 r. o gospodarce nieruchomościami;
2) wartości rynkowej gruntu, wynikającej z aktualnego operatu szacunkowego, sporządzonego zgodnie z przepisami ustawy z dnia 21 sierpnia 1997 r. o gospodarce nieruchomościami.
J. W przypadku gdy z realizacją przedsięwzięcia realizowanego na gruncie stanowiącym własność inwestora lub wobec którego inwestor ma prawo użytkowania wieczystego jest związane zawarcie umowy, o której mowa w art. 5 ust. 2 pkt 1 ustawy, informacja o wartości rynkowej gruntu stanowiącego własność lub będącego w użytkowaniu wieczystym inwestora, na którym jest realizowane przedsięwzięcie, wynikająca z aktualnego operatu szacunkowego sporządzonego zgodnie z przepisami ustawy z dnia 21 sierpnia 1997 r. o gospodarce nieruchomościami.
K. W przypadku, o którym mowa w art. 13 ust. 5 ustawy, informacja o wpisie budynku lub obszaru, na którym się on znajduje, do rejestru zabytków, w tym o dacie wydania decyzji, dacie prawomocności, numerze decyzji i organie, który wydał decyzję.
L. W przypadku przedsięwzięć, o których mowa w art. 5c ustawy, data oddania do użytkowania przedsięwzięcia lub inwestycji powiązanych z przedsięwzięciem, o którym mowa w art. 5c ust. 1 pkt 1-6 i ust. 1a ustawy.
M. W przypadku przedsięwzięć, o których mowa w art. 5c ustawy, liczba przedsięwzięć lub inwestycji powiązanych z przedsięwzięciem, o którym mowa w art. 5c ust. 1 pkt 1-6 i ust. 1a ustawy.
N. W przypadku przedsięwzięć, o których mowa w art. 5c ustawy, informacje o wysokości:
1) partycypacji finansowej gminy w kosztach przedsięwzięcia inwestycyjno-budowlanego - w przypadku, o którym mowa w art. 5c ust. 1 pkt 1 ustawy;
2) kosztów przedsięwzięcia, o którym mowa w art. 3, art. 4 lub art. 6 ustawy - w przypadku, o którym mowa w art. 5c ust. 1 pkt 2 i ust. 1a pkt 1 ustawy;
3) udziału gminy, powiatu albo związku międzygminnego w kosztach przedsięwzięcia, o którym mowa w art. 5 ust. 1 lub art. 5a ust. 1 ustawy - w przypadku, o którym mowa w art. 5c ust. 1 pkt 3 ustawy;
4) iloczynu 20 % średniego wskaźnika przeliczeniowego kosztu odtworzenia 1 m2 powierzchni użytkowej budynków mieszkalnych w rozumieniu art. 2 pkt 14 ustawy z dnia 20 lipca 2018 r. o pomocy państwa w ponoszeniu wydatków mieszkaniowych w pierwszych latach najmu mieszkania (Dz. U. z 2024 r. poz. 506), obliczonego dla danej gminy według stanu na dzień złożenia wniosku o finansowe wsparcie na realizację przedsięwzięcia infrastrukturalnego, oraz powierzchni użytkowej mieszkań w rozumieniu art. 2 pkt 8 tej ustawy - w przypadku, o którym mowa w art. 5c ust. 1 pkt 4 ustawy;
5) ceny nieruchomości zbytej przez gminę na zasadach określonych w ustawie z dnia 16 grudnia 2020 r. o zbywaniu nieruchomości z rozliczeniem „lokal za grunt” (Dz. U. z 2023 r. poz. 1525) - w przypadku, o którym mowa w art. 5c ust. 1 pkt 5 i ust. 1a pkt 2 ustawy.
III. Rodzaj przedsięwzięcia (należy wskazać właściwe)
A. Budowa budynku.
B. Remont budynku albo jego części.
C. Przebudowa budynku albo jego części.
D. Zmiana sposobu użytkowania budynku albo jego części.
E. Kupno lokalu mieszkalnego, budynku mieszkalnego albo udziału we współwłasności budynku mieszkalnego.
F. Kupno lokalu mieszkalnego, budynku mieszkalnego albo udziału we współwłasności budynku mieszkalnego połączone z remontem tego lokalu lub budynku mieszkalnego.
G. Budowa infrastruktury technicznej lub infrastruktury społecznej.
H. Przebudowa infrastruktury technicznej lub infrastruktury społecznej.
I. Kupno budynku mieszkalnego albo udziału we własności budynku mieszkalnego, w tym kupno połączone z remontem lub przebudową tego budynku, w wyniku którego zostaną utworzone lub zmodernizowane pomieszczenia służące zaspokajaniu potrzeb mieszkaniowych studentów i doktorantów.
IV. Rodzaj i wielkość zasobu powstającego lub zmodernizowanego w wyniku przedsięwzięcia
A. Liczba lokali wchodzących w skład mieszkaniowego zasobu gminy, w tym liczba lokali, które zostaną utworzone i liczba lokali, które zostaną zmodernizowane.
B. Liczba mieszkań treningowych lub wspomaganych.
C. Liczba tymczasowych pomieszczeń.
D. Liczba mieszkań pozyskiwanych w wyniku realizacji inwestycji przez społeczną inicjatywę mieszkaniową albo spółkę gminną, gdy z realizacją przedsięwzięcia jest związane zawarcie umowy, o której mowa w art. 5 ust. 2 pkt 1 ustawy, w przypadku, o którym mowa w art. 5a ust. 1 ustawy:
1) mieszkania przeznaczone do podnajmowania osobom spełniającym warunki otrzymania lokalu wchodzącego w skład mieszkaniowego zasobu gminy;
2) mieszkania treningowe lub wspomagane.
E. Liczba lokali mieszkalnych na wynajem tworzonych z udziałem gminy albo związku międzygminnego w wyniku realizacji inwestycji przez inwestora, w przypadku gdy z realizacją przedsięwzięcia jest związane zawarcie umowy, o której mowa w art. 5 ust. 2 pkt 1 ustawy.
F. Liczba mieszkań pozyskiwanych w wyniku realizacji inwestycji przez społeczną agencję najmu, w przypadku gdy z realizacją przedsięwzięcia związane jest zawarcie umowy, o której mowa w art. 22b ustawy z dnia 26 października 1995 r. o społecznych formach rozwoju mieszkalnictwa.
G. Liczba miejsc w noclegowniach.
H. Liczba miejsc w schroniskach dla osób bezdomnych.
I. Liczba miejsc w ogrzewalniach.
J. Wskazanie, które z zadań własnych gminy, o których mowa w art. 7 ust. 1 pkt 2, 3, 4-6, 8-10 i 12 ustawy z dnia 8 marca 1990 r. o samorządzie gminnym, lub zadań publicznych powiatu, o których mowa w art. 4 ust. 1 pkt 1-3, 6-8 i 12 ustawy z dnia 5 czerwca 1998 r. o samorządzie powiatowym, jest realizowane w ramach przedsięwzięcia, o którym mowa w art. 5c ust. 1 lub 2 ustawy.
K. Liczba lokali mieszkalnych realizowanych w ramach programu „Za życiem”.
L. Liczba lokali mieszkalnych dla osób starszych, o których mowa w art. 5b ustawy.
M. Liczba lokali mieszkalnych, które zostaną utworzone, lub liczba lokali mieszkalnych, które zostaną wyremontowane, z wykorzystaniem finansowego wsparcia, o którym mowa w art. 28 ust. 1 i 3 ustawy z dnia 16 września 2011 r. o szczególnych rozwiązaniach związanych z usuwaniem skutków powodzi (Dz. U. z 2025 r. poz. 1402 i 1847).
N. Liczba pomieszczeń służących zaspokajaniu potrzeb mieszkaniowych studentów i doktorantów oraz liczba miejsc znajdujących się w tych pomieszczeniach.
V. A. Charakterystyka przedsięwzięcia określonego w art. 3 i art. 5 ustawy
A. W przypadku budowy budynku, remontu, przebudowy lub zmiany sposobu użytkowania budynku lub jego części2):
1) adres/adresy nieruchomości;
2) łączna powierzchnia użytkowa tworzonych w ramach przedsięwzięcia lokali wchodzących w skład mieszkaniowego zasobu gminy, mieszkań treningowych lub wspomaganych oraz tymczasowych pomieszczeń3);
3) łączna powierzchnia użytkowa lokali znajdujących się lub powstających w budynku, nieobjętych finansowym wsparciem4);
4) dodatkowa powierzchnia użytkowa przeznaczona na zaspokajanie potrzeb osób starszych nieobejmująca powierzchni użytkowej lokali mieszkalnych dla osób starszych4).
B. W przypadku kupna lokali mieszkalnych, budynku mieszkalnego albo udziału we współwłasności budynku mieszkalnego, w tym kupna połączonego z remontem tych lokali lub remontem budynku mieszkalnego:
1) adresy nabywanych lokali mieszkalnych lub budynków mieszkalnych;
2) liczba nabywanych lokali mieszkalnych;
3) łączna powierzchnia użytkowa lokali mieszkalnych nabywanych w ramach przedsięwzięcia4);
4) łączna powierzchnia użytkowa przeznaczona na zaspokajanie potrzeb osób starszych, nieobejmująca powierzchni użytkowej lokali mieszkalnych dla osób starszych4).
C. W przypadku tworzenia lokali mieszkalnych na wynajem, powstających w wyniku realizacji przez inwestora innego niż gmina albo związek międzygminny budowy budynku, remontu lub przebudowy budynku lub jego części4):
1) adres nieruchomości;
2) liczba lokali mieszkalnych na wynajem w budynku tworzonych z udziałem gminy albo związku międzygminnego;
3) liczba tworzonych mieszkań treningowych lub wspomaganych w budynku;
4) liczba wszystkich lokali mieszkalnych w budynku;
5) łączna powierzchnia użytkowa lokali mieszkalnych tworzonych w ramach przedsięwzięcia4);
6) łączna powierzchnia użytkowa przeznaczona na zaspokajanie potrzeb osób starszych, nieobejmująca powierzchni użytkowej lokali mieszkalnych dla osób starszych4);
7) łączna powierzchnia użytkowa lokali znajdujących się lub powstających w budynku, nieobjętych finansowym wsparciem.
V. B. Charakterystyka przedsięwzięcia określonego w art. 4 ustawy
A. W przypadku budowy budynku, jego remontu, przebudowy lub zmiany sposobu jego użytkowania:
1) noclegownia:
a) adres nieruchomości,
b) nowa powierzchnia użytkowa noclegowni w m2,
c) nowa powierzchnia użytkowa niestanowiąca noclegowni,
d) nowa liczba miejsc w pomieszczeniach noclegowych,
e) dotychczasowa powierzchnia użytkowa noclegowni w m2,
f) całkowita liczba miejsc w pomieszczeniach noclegowych, po zakończeniu realizacji przedsięwzięcia;
2) schronisko dla osób bezdomnych:
a) adres nieruchomości,
b) nowa powierzchnia użytkowa schroniska dla osób bezdomnych w m2, w tym powierzchnia mieszkalna w m2,
c) nowa powierzchnia użytkowa niestanowiąca schroniska dla osób bezdomnych,
d) nowa liczba miejsc w pomieszczeniach mieszkalnych,
e) dotychczasowa powierzchnia użytkowa schroniska dla osób bezdomnych w m2, w tym powierzchnia mieszkalna w m2,
f) całkowita liczba miejsc w pomieszczeniach mieszkalnych, po zakończeniu realizacji przedsięwzięcia;
3) ogrzewalnia:
a) adres nieruchomości,
b) nowa powierzchnia użytkowa ogrzewalni w m2,
c) nowa powierzchnia użytkowa niestanowiąca ogrzewalni,
d) nowa liczba miejsc w ogrzewalni,
e) dotychczasowa powierzchnia użytkowa ogrzewalni w m2,
f) całkowita liczba miejsc w ogrzewalni, po zakończeniu realizacji przedsięwzięcia;
4) dostosowanie do wymagań osób ze szczególnymi potrzebami w rozumieniu art. 2 pkt 3 ustawy z dnia 19 lipca 2019 r. o zapewnianiu dostępności osobom ze szczególnymi potrzebami (Dz. U. z 2024 r. poz. 1411) (podjazdy lub platformy dla wózków, ciągi komunikacyjne w budynku wolne od barier poziomych i pionowych zapewniające dostęp na wszystkie kondygnacje użytkowe, w tym windy lub inne rozwiązania architektoniczne zwiększające dostępność architektoniczną budynku).
B. Remont, przebudowa, rozbudowa lub nadbudowa istniejącej noclegowni, istniejącego schroniska dla osób bezdomnych lub istniejącej ogrzewalni, w wyniku których nastąpi dostosowanie noclegowni, schroniska dla osób bezdomnych lub ogrzewalni do standardów, o których mowa w przepisach wydanych na podstawie art. 48a ust. 14 ustawy z dnia 12 marca 2004 r. o pomocy społecznej (Dz. U. z 2025 r. poz. 1214 i 1302) - zakres informacji taki jak w lit. A.
V. C. Charakterystyka przedsięwzięcia określonego w art. 4a ustawy
A. Budowa budynku, remont lub przebudowa budynku albo części budynku, w wyniku których zostaną utworzone lub zostaną zmodernizowane pomieszczenia służące zaspokajaniu potrzeb mieszkaniowych studentów i doktorantów:
1) adres nieruchomości;
2) liczba pomieszczeń służących zaspokajaniu potrzeb mieszkaniowych studentów i doktorantów;
3) powierzchnia mieszkalna pomieszczeń służących zaspokajaniu potrzeb mieszkaniowych studentów i doktorantów;
4) powierzchnia użytkowa pomieszczeń służących zaspokajaniu potrzeb mieszkaniowych studentów i doktorantów.
B. Kupno budynku mieszkalnego albo udziału we własności budynku mieszkalnego, w tym kupno połączone z remontem lub przebudową tego budynku, w wyniku którego zostaną utworzone lub zostaną zmodernizowane pomieszczenia służące zaspokajaniu potrzeb mieszkaniowych studentów i doktorantów:
1) adres nabywanego budynku mieszkalnego;
2) wielkość nabywanego udziału we własności budynku mieszkalnego;
3) liczba pomieszczeń służących zaspokajaniu potrzeb mieszkaniowych studentów i doktorantów;
4) powierzchnia mieszkalna pomieszczeń służących zaspokajaniu potrzeb mieszkaniowych studentów i doktorantów;
5) powierzchnia użytkowa pomieszczeń służących zaspokajaniu potrzeb mieszkaniowych studentów i doktorantów.
C. Powierzchnia dodatkowa inna niż powierzchnia pomieszczeń służąca zaspokajaniu potrzeb mieszkaniowych studentów i doktorantów, utworzona bez wykorzystania finansowego wsparcia.
V. D. Charakterystyka przedsięwzięcia określonego w art. 5c ustawy
Budowa lub przebudowa infrastruktury technicznej lub infrastruktury społecznej:
1) adres nieruchomości;
2) numery działek ewidencyjnych, na których ma zostać utworzona infrastruktura techniczna lub infrastruktura społeczna;
3) informacja o rodzaju planowanej infrastruktury technicznej lub infrastruktury społecznej;
4) łączna powierzchnia użytkowa tworzonej infrastruktury technicznej lub infrastruktury społecznej - w przypadku realizacji obiektów kubaturowych, a w przypadku realizacji obiektów liniowych - dane dotyczące rozmiaru/zakresu danego przedsięwzięcia;
5) przewidywany koszt przedsięwzięcia;
6) informacje o przedsięwzięciu lub inwestycji, z którymi powiązana jest realizacja przedsięwzięcia infrastrukturalnego, o którym mowa w art. 5c ustawy, w tym numer księgi wieczystej i adres nieruchomości, na której znajduje się albo będzie realizowane przedsięwzięcie lub inwestycja, z którymi powiązana jest realizacja przedsięwzięcia infrastrukturalnego.
VI. Dodatkowe informacje o przedsięwzięciu
A. Informacja, czy przedsięwzięcie jest realizowane zgodnie z zasadami określonymi w art. 7 ustawy.
B. Informacja, czy przedsięwzięcie nie jest realizowane przy udziale finansowania zwrotnego, o którym mowa w art. 15a ust. 1 ustawy z dnia 26 października 1995 r. o społecznych formach rozwoju mieszkalnictwa - w przypadku gdy z realizacją przedsięwzięcia jest związane zawarcie umowy, o której mowa w art. 5 ust. 2 pkt 1 ustawy, w przypadku, o którym mowa w art. 5a ust. 1 ustawy.
C. Informacja, czy przedsięwzięcie jest realizowane przy udziale finansowania zwrotnego, o którym mowa w art. 15a ust. 1 ustawy z dnia 26 października 1995 r. o społecznych formach rozwoju mieszkalnictwa, i czy wysokość środków publicznych przekazanych inwestorowi na tworzenie lokali mieszkalnych na wynajem z udziałem gminy albo związku międzygminnego z tytułu finansowego wsparcia udzielanego na zasadach określonych w ustawie oraz finansowania zwrotnego nie przekracza dopuszczalnej wysokości rekompensaty, o której mowa w art. 5 ust. 5 ustawy - w przypadku gdy z realizacją przedsięwzięcia jest związane zawarcie umowy, o której mowa w art. 5 ust. 2 pkt 1 ustawy.
D. Informacja, czy w lokalach mieszkalnych pozyskanych przy udziale finansowego wsparcia na podstawie ustawy zostanie zainstalowane wyposażenie, o którym mowa w art. 6b ustawy (z wyłączeniem przedsięwzięć, o których mowa w art. 3 ust. 3 ustawy), ze wskazaniem przyczyny braku jego instalacji.
E. Informacja, czy przedsięwzięcie zostało zakończone przed dniem złożenia wniosku, o którym mowa w art. 8 ust. 1 ustawy (z wyłączeniem przedsięwzięć, o których mowa w art. 3 ust. 1 pkt 5 i 6 oraz art. 4a ust. 1 pkt 3 ustawy).
F. Informacja o planowanych kosztach przedsięwzięcia, o których mowa w art. 14 ust. 1 ustawy, z uwzględnieniem wartości netto i brutto oraz ze wskazaniem wysokości przyjętej stawki podatku od towarów i usług, dokumentów, na podstawie których te koszty określono (w przypadku przedsięwzięcia obejmującego remont lub przebudowę części kilku budynków w rozbiciu na poszczególne lokale mieszkalne znajdujące się w budynkach objętych wnioskiem ze wskazaniem ich adresu), a także jeżeli przedsięwzięcie obejmuje zakup, montaż lub budowę instalacji odnawialnego źródła energii, o której mowa w art. 2 pkt 13 lit. a ustawy z dnia 20 lutego 2015 r. o odnawialnych źródłach energii (Dz. U. z 2024 r. poz. 1361, z późn. zm.5)), z wyłączeniem magazynu biogazu rolniczego, przyłączonej do sieci dystrybucyjnej za pośrednictwem wewnętrznej instalacji, wskazanie kosztów zakupu, montażu lub budowy tej instalacji.
G. Informacja o sposobie wyodrębnienia kosztów przedsięwzięcia, o których mowa w art. 14 ust. 1 ustawy, które nie podlegają sfinansowaniu w ramach danego wniosku, lub też kosztów innych niż te, o których mowa w art. 14 ust. 1 ustawy.
H. Informacja, czy beneficjentowi wsparcia lub inwestorowi przysługuje prawo do obniżenia kwoty podatku należnego o kwotę podatku naliczonego związanego z tym przedsięwzięciem lub zwrot tego podatku (z wyłączeniem przedsięwzięć, o których mowa w art. 3 ust. 1 pkt 5 ustawy).
I. Informacja, czy beneficjent wsparcia ubiega się o finansowe wsparcie na przedsięwzięcie, o którym mowa w art. 3 ust. 1 pkt 5 i 6 ustawy, którego przedmiotem zakupu są byłe mieszkania zakładowe, wraz z ich wykazem, których lokatorami są:
1) osoby, które przed dniem 7 lutego 2001 r. były pracownikami przedsiębiorstwa państwowego lub spółki handlowej, w których Skarb Państwa był podmiotem dominującym w rozumieniu ustawy z dnia 29 lipca 2005 r. o ofercie publicznej i warunkach wprowadzania instrumentów finansowych do zorganizowanego systemu obrotu oraz o spółkach publicznych (Dz. U. z 2025 r. poz. 592);
2) zstępni, wstępni, małżonek lokatora, osoby przysposabiające lokatora i przysposobione przez niego oraz osoby, które pozostawały z lokatorem w faktycznym wspólnym pożyciu, zamieszkujące z lokatorem w chwili jego śmierci, którzy wstąpili w stosunek najmu po śmierci osób wskazanych w pkt 1.
J. Informacja, czy przedsięwzięcie jest objęte gminnym programem rewitalizacji w rozumieniu przepisu art. 15 ustawy z dnia 9 października 2015 r. o rewitalizacji (Dz. U. z 2024 r. poz. 278).
K. W sytuacji gdy beneficjent wsparcia nie korzysta z finansowego wsparcia w ramach planu rozwojowego, informacja, czy tworzone lokale mieszkalne na wynajem będą wynajmowane i użytkowane na zasadach wskazanych w art. 7a-7f ustawy - w przypadku gdy z realizacją przedsięwzięcia jest związane zawarcie umowy, o której mowa w art. 5 ust. 2 pkt 1 ustawy.
L. Informacja, czy tworzone lokale mieszkalne na wynajem będą wynajmowane i użytkowane na zasadach wskazanych w art. 7a-7d i art. 7f ustawy - w przypadku gdy z realizacją przedsięwzięcia jest związane zawarcie umowy, o której mowa w art. 5 ust. 2 pkt 2 ustawy.
M. W sytuacji gdy beneficjent wsparcia nie korzysta z finansowego wsparcia w ramach planu rozwojowego, informacja, czy inwestor, któremu powierzy się świadczenie usługi publicznej w ogólnym interesie gospodarczym, świadczyć będzie usługę polegającą na najmie lokali mieszkalnych na warunkach określonych w art. 7a-7f ustawy - w przypadku gdy z realizacją przedsięwzięcia jest związane zawarcie umowy, o której mowa w art. 5 ust. 2 pkt 1 ustawy.
N. Informacja, czy inwestor, któremu powierzy się świadczenie usługi publicznej w ogólnym interesie gospodarczym, świadczyć będzie usługę polegającą na najmie lokali mieszkalnych na warunkach określonych w art. 7a-7d i art. 7f ustawy - w przypadku gdy z realizacją przedsięwzięcia jest związane zawarcie umowy, o której mowa w art. 5 ust. 2 pkt 2 ustawy.
O. W przypadku przedsięwzięć, o których mowa w art. 3 ustawy, informacja, czy tworzone w ramach planu rozwojowego lokale mieszkalne na wynajem będą wynajmowane zgodnie z zasadami określonymi w art. 7c ust. 2-6 oraz art. 22d ust. 1-2 i 4 ustawy.
P. W przypadku przedsięwzięć, o których mowa w art. 5 ustawy, informacja, czy tworzone w ramach planu rozwojowego lokale mieszkalne na wynajem będą wynajmowane zgodnie z zasadami określonymi w art. 7a ust. 2 i ust. 3-8, art. 7b, art. 7c, art. 7d, art. 7e, art. 7f oraz art. 22d ustawy.
Q. W przypadku przedsięwzięć, o których mowa w art. 5a ustawy, informacja, czy tworzone w ramach planu rozwojowego lokale mieszkalne na wynajem będą wynajmowane zgodnie z zasadami określonymi w art. 7c ust. 2-6 ustawy oraz art. 22d ustawy.
R. Informacja, czy część lokali będzie przeznaczona dla rodzin z dziećmi posiadającymi zaświadczenie, o którym mowa w art. 4 ust. 3 ustawy z dnia 4 listopada 2016 r. o wsparciu kobiet w ciąży i rodzin „Za życiem” (Dz. U. z 2024 r. poz. 1829).
S. Informacja, czy:
1) przedsięwzięcie jest realizowane zgodnie ze standardami określonymi w rozporządzeniu Ministra Inwestycji i Rozwoju z dnia 4 marca 2019 r. w sprawie standardów dotyczących przestrzennego kształtowania budynku i jego otoczenia, technologii wykonania i wyposażenia technicznego budynku oraz lokalizacji przedsięwzięć realizowanych z wykorzystaniem finansowego wsparcia z Funduszu Dopłat (Dz. U. poz. 457) albo
2) wobec przedsięwzięcia nie stosuje się standardów określonych w rozporządzeniu, o którym mowa w pkt 1, zgodnie z § 2 pkt 1 lub 2 lub 3 lub 46) tego rozporządzenia.
T. Informacja, czy przedsięwzięcie spełnia standardy, o których mowa w przepisach wydanych na podstawie art. 48a ust. 14 ustawy z dnia 12 marca 2004 r. o pomocy społecznej - w przypadku przedsięwzięcia, o którym mowa w art. 4 ustawy.
U. Informacja, czy przedsięwzięcie spełnia standardy, o których mowa w przepisach wydanych na podstawie art. 53 ust. 24 ustawy z dnia 12 marca 2004 r. o pomocy społecznej - w przypadku przedsięwzięcia, o którym mowa w art. 6 ustawy.
W. Informacja, czy finansowe wsparcie, o którym mowa w art. 3, art. 5 i art. 5a ustawy, jest udzielane na przedsięwzięcie, w wyniku którego powstaną lokale mieszkalne, których docelową grupę najemców będą stanowić również osoby starsze, o których mowa w art. 5b ustawy - w przypadku gdy finansowe wsparcie ma być udzielone także na utworzenie dodatkowych powierzchni użytkowych przeznaczonych na zaspokojenie potrzeb osób starszych.
X. Informacja, czy w ramach przedsięwzięcia występuje pomoc publiczna - w przypadku przedsięwzięć i inwestycji, o których mowa w art. 5c ustawy.
Y. Informacja, czy beneficjent wsparcia będący jednoosobową spółką gminną jest spółką, której gmina powierzyła realizację zadania własnego w zakresie zaspokajania potrzeb mieszkaniowych wspólnoty samorządowej w rozumieniu przepisu art. 2 pkt 5a lit. b ustawy - w przypadku przedsięwzięć, o których mowa w art. 3 albo art. 4 ustawy.
Z. W przypadku przedsięwzięć realizowanych na podstawie art. 3 ust. 1 pkt 1, art. 4 ust. 1 pkt 1, art. 4a ust. 1 pkt 1, art. 5 ust. 1 pkt 1 i art. 5c ustawy informacja o numerze księgi wieczystej prowadzonej dla nieruchomości objętej przedsięwzięciem.
ZA. Informacja, czy beneficjent wsparcia lub inwestor posiada prawo własności lub użytkowania wieczystego lub dzierżawy lub użyczenia gruntu, na którym realizowane jest przedsięwzięcie, albo prawo własności budynku lub części budynku (w tym lokali), w którym realizowane jest przedsięwzięcie, albo o posiadanym prawie własności lub dzierżawy lub użytkowania wieczystego gruntu (dla przedsięwzięć, o których mowa w art. 3 ust. 1, art. 4, art. 4a ust. 1, art. 5 ust. 1 i art. 5c ustawy).
ZB. W przypadku przedsięwzięć, o których mowa w art. 3 ust. 1 pkt 1, art. 4 ust. 1 pkt 1, art. 4a ust. 1 pkt 1 i art. 5 ust. 1 pkt 1 ustawy, informacje o:
1) numerze działek ewidencyjnych, na których będą budowane budynki wraz ze związanymi z nimi obiektami i urządzeniami w ramach przedsięwzięcia;
2) liczbie budynków, przewidzianych do realizacji w ramach przedsięwzięcia;
3) liczbie kondygnacji w budynkach przewidzianych w ramach przedsięwzięcia, w tym kondygnacji naziemnych i podziemnych (w przypadku różnej liczby kondygnacji, należy wskazać je dla każdego budynku osobno);
4) tym, czy w każdym budynku oraz każdej wydzielonej w pionie odrębnej części budynku zaprojektowano dźwig przystosowany do przewozu mebli, chorych na noszach i osób niepełnosprawnych (jeżeli nie w każdym - należy wskazać, w których budynkach zostały zaprojektowane i w jakiej liczbie);
5) łącznej liczbie realizowanych stanowisk postojowych lub garaży znajdujących się w budynkach mieszkalnych i wielopoziomowych, w tym przypadających na lokale mieszkalne objęte wnioskiem;
6) minimalnej liczbie stanowisk i garaży, o których mowa w pkt 5, wynikającej z ustaleń miejscowego planu zagospodarowania przestrzennego albo decyzji o warunkach zabudowy, w tym przypadających na lokale mieszkalne objęte wnioskiem.
ZC. W przypadku przedsięwzięcia, o którym mowa w art. 5 ust. 1 albo art. 5c ust. 2 ustawy, informacja o dacie albo planowanej dacie zawarcia umowy, o której mowa w art. 5 ust. 2 pkt 1 albo pkt 2 lit. a albo art. 5c ust. 3 ustawy, oraz okresie, na jaki została bądź zostanie zawarta ta umowa.
ZD. W przypadku przedsięwzięcia, o którym mowa w art. 5 ust. 1 pkt 2 lit. b ustawy, informacja, czy gmina określiła kryteria, o których mowa w art. 22e ust. 1 pkt 1 ustawy z dnia 26 października 1995 r. o społecznych formach rozwoju mieszkalnictwa.
ZE. Informacja, czy przed złożeniem danego wniosku o finansowe wsparcie, budynek lub jego część, które są aktualnie przedmiotem przedsięwzięcia, podlegał finansowaniu ze środków Funduszu Dopłat. Jeżeli tak, to informacja czy przedsięwzięcie, w ramach którego finansowany był ten budynek lub ta część zostało rozliczone i kiedy nastąpiło to rozliczenie.
ZF. W przypadku przedsięwzięcia, o którym mowa w art. 3 ust. 1 pkt 1, art. 5 ust. 1 pkt 1 ustawy, informacja czy przedsięwzięcie jest realizowane na podstawie dokumentacji projektowej opracowanej z wykorzystaniem zasobu dokumentacji projektowych, o którym mowa w art. 7g ustawy.
ZG. W przypadku przedsięwzięcia, o którym mowa w art. 4a ustawy, informacja, czy pomieszczenia służące zaspokajaniu potrzeb mieszkaniowych studentów i doktorantów, pozyskanych przy udziale finansowego wsparcia na podstawie ustawy, będą wyposażone w oświetlenie naturalne i elektryczne, możliwość ogrzewania, niezawilgocone przegrody budowlane oraz wyposażone lub obejmujące bezpośredni dostęp do aneksu wyposażonego w źródło zaopatrzenia w wodę, ustęp oraz urządzenie do gotowania posiłków.
ZH. Informacja, czy minimalna powierzchnia pomieszczenia służącego zaspokajaniu potrzeb mieszkaniowych studentów i doktorantów wynosi 8 m2 powierzchni mieszkalnej na jedną osobę.
ZI. W przypadku przedsięwzięcia, o którym mowa w art. 4a ustawy, informacja, czy na realizację przedsięwzięcia została udzielona dotacja celowa na podstawie art. 365 pkt 4 lit. a ustawy z dnia 20 lipca 2018 r. - Prawo o szkolnictwie wyższym i nauce (Dz. U. z 2024 r. poz. 1571, z późn. zm.7)).
ZJ. W przypadku przedsięwzięcia, o którym mowa w art. 4a ustawy, informacja, czy tworzone lokale mieszkalne będą wynajmowane i użytkowane na zasadach wskazanych w art. 7a ust. 1 pkt 1 i art. 7c ust. 3a ustawy.
ZK. W przypadku przedsięwzięć, o których mowa w art. 3 ust. 1 pkt 1 oraz w art. 5 ust. 1 pkt 1 ustawy, informacja, czy wartość wskaźnika rocznego zapotrzebowania na nieodnawialną energię pierwotną EP w budynku powstałym w ramach przedsięwzięcia przekracza czy nie przekracza 52 kWh/(m2×rok).
ZL. Informacja, czy koszty przedsięwzięcia obejmują koszty związane z zakupem, montażem i uruchomieniem indywidualnego kotła zasilanego paliwami kopalnymi.
VII. Zgoda na przekazywanie informacji
Informacja o wyrażeniu zgody na przekazywanie przez Bank Gospodarstwa Krajowego wszelkich informacji o realizowanym przedsięwzięciu oraz na udostępnianie i przekazywanie dokumentacji fotograficznej przedsięwzięcia ministrowi właściwemu do spraw budownictwa, planowania i zagospodarowania przestrzennego oraz mieszkalnictwa.
VIII. Informacje o prawdziwości danych zawartych we wniosku, podpisane przez:
1) w przypadku gminy - wójta (burmistrza, prezydenta miasta);
2) w przypadku związku międzygminnego - zarząd związku;
3) w przypadku powiatu - starostę;
4) w przypadku jednoosobowej spółki gminnej, organizacji pozarządowej albo podmiotów, o których mowa w art. 3 ust. 3 ustawy z dnia 24 kwietnia 2003 r. o działalności pożytku publicznego i o wolontariacie - osobę lub osoby uprawnione do składania oświadczeń woli w imieniu spółki i organizacji;
5) w przypadku uczelni - rektora.
1) W przypadku braku adresu do doręczeń elektronicznych wskazuje się adres skrzynki ePUAP. Możliwość doręczania korespondencji na skrzynkę ePUAP obowiązuje do dnia określonego w art. 147 ust. 1-3 ustawy z dnia 18 listopada 2020 r. o doręczeniach elektronicznych (Dz. U. z 2024 r. poz. 1045 i 1841).
2) Jeżeli przedsięwzięcie obejmuje remont lub przebudowę części kilku budynków - dane należy uzupełnić o adres każdego z budynków oraz powierzchnię użytkową w rozbiciu na poszczególne lokale mieszkalne znajdujące się w budynkach objętych wnioskiem, w ujęciu tabelarycznym.
3) Obliczona zgodnie z art. 2 ust. 2 ustawy z dnia 21 czerwca 2001 r. o ochronie praw lokatorów, mieszkaniowym zasobie gminy i o zmianie Kodeksu cywilnego (Dz. U. z 2023 r. poz. 725).
4) Jeżeli przedsięwzięcie obejmuje remont lub przebudowę części kilku budynków - informacje należy uzupełnić o adres każdego z budynków, koszt przedsięwzięcia i powierzchnię w rozbiciu na poszczególne lokale mieszkalne znajdujące się w budynkach objętych wnioskiem, w ujęciu tabelarycznym.
5) Zmiany tekstu jednolitego wymienionej ustawy zostały ogłoszone w Dz. U. z 2024 r. poz. 1847 i 1881 oraz z 2025 r. poz. 303, 759, 1218 i 1535.
6) Należy wskazać konkretny punkt przepisu § 2 rozporządzenia Ministra Inwestycji i Rozwoju z dnia 4 marca 2019 r. w sprawie standardów dotyczących przestrzennego kształtowania budynku i jego otoczenia, technologii wykonania i wyposażenia technicznego budynku oraz lokalizacji przedsięwzięć realizowanych z wykorzystaniem finansowego wsparcia z Funduszu Dopłat, który jest podstawą prawną niestosowania standardów.
7) Zmiany tekstu jednolitego wymienionej ustawy zostały ogłoszone w Dz. U. z 2024 r. poz. 1871 i 1897 oraz z 2025 r. poz. 619, 620, 621, 622, 1162, 1794, 1837 i 1864.
Załącznik nr 2
SZCZEGÓŁOWY ZAKRES INFORMACJI, JAKIE SĄ DOŁĄCZANE DO WNIOSKU O GRANT MZG, WNIOSKU O GRANT OZE ORAZ WNIOSKU O FINANSOWE WSPARCIE UDZIELANE W RAMACH PLANU ROZWOJOWEGO
I. Dane wnioskodawcy
A. Beneficjent wsparcia: gmina, jednoosobowa spółka gminna, której gmina powierzyła realizację zadania własnego w zakresie zaspokajania potrzeb mieszkaniowych wspólnoty samorządowej, z wyjątkiem społecznych inicjatyw mieszkaniowych i społecznych agencji najmu albo zadania związanego z infrastrukturą techniczną lub infrastrukturą społeczną, powiat, związek międzygminny, organizacja pozarządowa, o której mowa w art. 3 ust. 2 ustawy z dnia 24 kwietnia 2003 r. o działalności pożytku publicznego i o wolontariacie (Dz. U. z 2025 r. poz. 1338), zwana dalej „organizacją pozarządową”, podmiot, o którym mowa w art. 3 ust. 3 ustawy z dnia 24 kwietnia 2003 r. o działalności pożytku publicznego i o wolontariacie.
B. Nazwa.
C. Adres, w tym adres do doręczeń elektronicznych1), o którym mowa w ustawie z dnia 18 listopada 2020 r. o doręczeniach elektronicznych (Dz. U. z 2024 r. poz. 1045 i 1841).
D. Numer identyfikacji podatkowej (NIP) oraz numer identyfikacyjny w krajowym rejestrze urzędowym podmiotów gospodarki narodowej (REGON), a dla podmiotów innych niż gmina, powiat, związek międzygminny lub uczelnia publiczna numer KRS.
E. Imię i nazwisko, służbowy numer telefonu oraz służbowy adres poczty elektronicznej osoby bezpośrednio prowadzącej sprawę.
F. W przypadku przedsięwzięć, o których mowa w art. 5 ust. 1 ustawy z dnia 8 grudnia 2006 r. o finansowym wsparciu niektórych przedsięwzięć mieszkaniowych (Dz. U. z 2024 r. poz. 304 oraz z 2025 r. poz. 680 i 1077) - nazwa, adres, w tym adres do doręczeń elektronicznych1), o którym mowa w ustawie z dnia 18 listopada 2020 r. o doręczeniach elektronicznych, numery REGON, NIP i KRS inwestora.
G. Numer rachunku bankowego lub rachunku prowadzonego przez spółdzielczą kasę oszczędnościowo-kredytową beneficjenta wsparcia, na który zostanie przekazany grant MZG, grant OZE lub finansowe wsparcie udzielane w ramach planu rozwojowego.
II. Dodatkowe informacje dołączane do wniosku o grant MZG
A. Wnioskowana kwota grantu MZG (w zł).
B. Koszt netto i brutto przedsięwzięcia (w zł).
C. Informacja, czy:
1) przedsięwzięcie spełnia warunki określone w rozporządzeniu Parlamentu Europejskiego i Rady (UE) 2021/241 z dnia 12 lutego 2021 r. ustanawiającym Instrument na rzecz Odbudowy i Zwiększania Odporności (Dz. Urz. UE L 57 z 18.02.2021, str. 17, z późn. zm.2));
2) przedsięwzięcie nie wyrządza poważnych szkód dla celów środowiskowych;
3) dla inwestycji został określony scenariusz według normy PN-EN 15978 Zrównoważone obiekty budowlane - Ocena środowiskowych właściwości użytkowych budynków - Metoda obliczania (dalej: norma PN-EN 15978);
4) w projekcie uwzględniono konieczność weryfikacji spełnienia przez urządzenia zainstalowane poza lokalami mieszkalnymi parametrów określonych w ust. 7.2. pkt 3 załącznika I do rozporządzenia delegowanego Komisji (UE) 2021/2139 z dnia 4 czerwca 2021 r. uzupełniającego rozporządzenie Parlamentu Europejskiego i Rady (UE) 2020/852 poprzez ustanowienie technicznych kryteriów kwalifikacji służących określeniu warunków, na jakich dana działalność gospodarcza kwalifikuje się jako wnosząca istotny wkład w łagodzenie zmian klimatu lub w adaptację do zmian klimatu, a także określeniu, czy ta działalność gospodarcza nie wyrządza poważnych szkód względem żadnego z pozostałych celów środowiskowych (Dz. Urz. UE L 442 z 09.12.2021, str. 1, z późn. zm.3)), zwanego dalej „rozporządzeniem nr 2021/2139”;
5) projekty budynków i techniki konstrukcyjne wspomagają obieg zamknięty, w tym wskazują, w jaki sposób zapewniono wyższy poziom zasobooszczędności, możliwości dostosowania, elastyczności i możliwości demontażu w celu umożliwienia ponownego użycia i recyklingu;
6) elementy budynków i materiały budowlane wykorzystane przy budowie, z którymi mieszkańcy mogą mieć kontakt, spełniają warunki, o których mowa w ust. 7.1. pkt 5 zdanie drugie załącznika I do rozporządzenia nr 2021/2139;
7) beneficjent wsparcia nie otrzymał już finansowania na realizację zakresu prac zakładanego w ramach realizacji przedsięwzięcia w ramach planu rozwojowego lub innych unijnych programów, instrumentów, funduszy w ramach budżetu Unii Europejskiej;
8) beneficjent wsparcia w ramach realizacji przedsięwzięcia przestrzega zasady niedyskryminacji i równości szans ze względu na płeć;
9) beneficjent wsparcia nie jest wykluczony z dofinansowania na podstawie art. 207 ustawy z dnia 27 sierpnia 2009 r. o finansach publicznych (Dz. U. z 2025 r. poz. 1483, 1844 i 1846).
III. Dodatkowe informacje dołączane do wniosku o grant OZE
A. Wnioskowana kwota grantu OZE (w zł)4).
B. Koszt netto i brutto zakupu, montażu lub budowy instalacji odnawialnego źródła energii (w zł).
C. Informacja, czy:
1) przedsięwzięcie spełnia warunki określone w rozporządzeniu Parlamentu Europejskiego i Rady (UE) 2021/241 z dnia 12 lutego 2021 r. ustanawiającym Instrument na rzecz Odbudowy i Zwiększania Odporności;
2) przedsięwzięcie obejmuje zakup i montaż instalacji odnawialnego źródła energii, o której mowa w art. 2 pkt 13 lit. a ustawy z dnia 20 lutego 2015 r. o odnawialnych źródłach energii (Dz. U. z 2024 r. poz. 1361, z późn. zm.5)), z wyłączeniem magazynu biogazu rolniczego, przyłączonej do sieci dystrybucyjnej za pośrednictwem wewnętrznej instalacji;
3) przedsięwzięcie nie wyrządza poważnych szkód dla celów środowiskowych;
4) dla inwestycji został określony scenariusz według normy PN-EN 15978;
5) beneficjent wsparcia nie otrzymał już finansowania na realizację zakresu prac zakładanego w ramach realizacji przedsięwzięcia w ramach planu rozwojowego lub innych unijnych programów, instrumentów, funduszy w ramach budżetu Unii Europejskiej;
6) beneficjent wsparcia w ramach realizacji przedsięwzięcia przestrzega zasady niedyskryminacji i równości szans ze względu na płeć;
7) beneficjent wsparcia nie jest wykluczony z dofinansowania na podstawie art. 207 ustawy z dnia 27 sierpnia 2009 r. o finansach publicznych.
D. Moc elektryczna i cieplna instalacji odnawialnego źródła energii (kW).
E. Przewidywana roczna ilość energii elektrycznej lub ciepła wytwarzanych przez instalację odnawialnego źródła energii (kWh/rok).
F. Informacja o rodzaju instalacji odnawialnego źródła energii (panele fotowoltaiczne, kolektory słoneczne, pompa ciepła, kocioł na biomasę albo inna; w przypadku wyboru opcji „inna” należy wskazać rodzaj tej instalacji).
IV. Dodatkowe informacje dołączane do wniosku o finansowe wsparcie udzielane w ramach planu rozwojowego
A. Wnioskowana kwota finansowego wsparcia udzielanego w ramach planu rozwojowego (w zł)6).
B. Informacje o tym, czy:
1) planowany termin zakończenia realizacji przedsięwzięcia wynika z Krajowego Planu Odbudowy i Zwiększenia Odporności w ramach działania B.3.5.1. „Inwestycje w energooszczędne budownictwo mieszkaniowe dla gospodarstw domowych o niskich i średnich dochodach”;
2) przedsięwzięcie spełnia warunki określone w rozporządzeniu Parlamentu Europejskiego i Rady (UE) 2021/241 z dnia 12 lutego 2021 r. ustanawiającym Instrument na rzecz Odbudowy i Zwiększania Odporności;
3) przedsięwzięcie nie wyrządza poważnych szkód dla celów środowiskowych;
4) dla inwestycji został określony scenariusz według normy PN-EN 15978;
5) dla inwestycji została przeprowadzona ocena śladu węglowego budynków w pełnym cyklu życia, zgodnie z metodą opisaną w normie PN-EN 15978 - w przypadku budynków o powierzchni przekraczającej 5000 m2 - w przypadku przedsięwzięć polegających na budowie budynku;
6) obliczenia współczynnika globalnego ocieplenia w cyklu życia budynku zostaną udostępnione na życzenie najemców budynku - w przypadku budynków o powierzchni przekraczającej 5000 m2 - w przypadku przedsięwzięć polegających na budowie budynku;
7) w projekcie uwzględniono konieczność weryfikacji spełnienia przez urządzenia zainstalowane poza lokalami mieszkalnymi parametrów określonych w ust. 7.1. pkt 3 lub 7.2. pkt 3 załącznika I do rozporządzenia nr 2021/2139;
8) projekty budynków i techniki konstrukcyjne wspomagają obieg zamknięty, w tym wskazują, w jaki sposób zapewniono wyższy poziom zasobooszczędności, możliwości dostosowania, elastyczności i możliwości demontażu w celu umożliwienia ponownego użycia i recyklingu;
9) elementy budynków i materiały budowlane wykorzystane przy budowie, z którymi mieszkańcy mogą mieć kontakt, spełniają warunki, o których mowa w ust. 7.1. pkt 5 zdanie drugie załącznika I do rozporządzenia nr 2021/2139;
10) teren został poddany badaniom pod kątem potencjalnych zanieczyszczeń - w przypadku gdy budynek wznoszony jest na terenie zdegradowanym - w przypadku przedsięwzięć polegających na budowie budynku;
11) dla inwestycji został przygotowany wykaz środków służących redukcji emisji hałasu, kurzu i zanieczyszczeń w trakcie robót budowlanych lub konserwacyjnych;
12) beneficjent wsparcia nie otrzymał już finansowania na realizację zakresu prac zakładanego w ramach realizacji przedsięwzięcia w ramach planu rozwojowego lub innych unijnych programów, instrumentów, funduszy w ramach budżetu Unii Europejskiej;
13) beneficjent wsparcia w ramach realizacji przedsięwzięcia przestrzega zasady niedyskryminacji i równości szans ze względu na płeć;
14) beneficjent wsparcia nie jest wykluczony z dofinansowania na podstawie art. 207 ustawy z dnia 27 sierpnia 2009 r. o finansach publicznych.
C. Ep - wskaźnik rocznego zapotrzebowania na nieodnawialną energię pierwotną [kWh/(m2·rok)].
D. Powierzchnia pomieszczeń o regulowanej temperaturze powietrza (w m2).
V. Informacje o prawdziwości danych zawartych we wniosku, podpisane przez:
1) w przypadku gminy - wójta (burmistrza, prezydenta miasta);
2) w przypadku związku międzygminnego - zarząd związku;
3) w przypadku powiatu - starostę;
4) w przypadku jednoosobowej spółki gminnej, organizacji pozarządowej albo podmiotów, o których mowa w art. 3 ust. 3 ustawy z dnia 24 kwietnia 2003 r. o działalności pożytku publicznego i o wolontariacie - osobę lub osoby uprawnione do składania oświadczeń woli w imieniu spółki i organizacji.
1) W przypadku braku adresu do doręczeń elektronicznych wskazuje się adres skrzynki ePUAP. Możliwość doręczania korespondencji na skrzynkę ePUAP obowiązuje do dnia określonego w art. 147 ust. 1-3 ustawy z dnia 18 listopada 2020 r. o doręczeniach elektronicznych (Dz. U. z 2024 r. poz. 1045 i 1841).
2) Zmiany wymienionego rozporządzenia zostały ogłoszone w Dz. Urz. UE L 410 z 18.11.2021, str. 197, Dz. Urz. UE L 63 z 28.02.2023, str. 1, Dz. Urz. UE L 100 z 13.04.2023, str. 102, Dz. Urz. UE L 137 z 25.05.2023, str. 71 oraz Dz. Urz. UE L 2024/795 z 29.02.2024.
3) Zmiany wymienionego rozporządzenia zostały ogłoszone w Dz. Urz. UE L 188 z 15.07.2022, str. 1, Dz. Urz. UE L 2023/2485 z 21.11.2023, Dz. Urz. UE L 2024/90643 z 22.10.2024 oraz Dz. Urz. UE L 2024/3215 z 19.12.2024.
4) Zgodnie z rozporządzeniem 2021/241, w tym przede wszystkim zgodnie z zasadą dodatkowości finansowania unijnego i wynikającej z niej reguły eliminowania i unikania podwójnego finansowania poniesionych kosztów, koszty zakupu, montażu lub budowy instalacji odnawialnego źródła energii, o której mowa w art. 2 pkt 13 lit. a ustawy z dnia 20 lutego 2015 r. o odnawialnych źródłach energii nie mogą być sfinansowane grantem OZE, finansowym wsparciem z Funduszu Dopłat oraz finansowym wsparciem w ramach planu rozwojowego powyżej 100 % ich kosztów netto, z uwzględnieniem, że podatek VAT finansowany jest proporcjonalnie.
5) Zmiany tekstu jednolitego wymienionej ustawy zostały ogłoszone w Dz. U. z 2024 r. poz. 1847 i 1881 oraz z 2025 r. poz. 303, 759, 1218 i 1535.
6) Zgodnie z rozporządzeniem 2021/241, w tym przede wszystkim zgodnie z zasadą dodatkowości finansowania unijnego i wynikającej z niej reguły eliminowania i unikania podwójnego finansowania poniesionych kosztów, koszty zakupu, montażu lub budowy instalacji odnawialnego źródła energii, o którym mowa w art. 2 pkt 13 lit. a ustawy z dnia 20 lutego 2015 r. o odnawialnych źródłach energii nie mogą być sfinansowane grantem OZE, finansowym wsparciem z Funduszu Dopłat oraz finansowym wsparciem w ramach planu rozwojowego powyżej 100 % ich kosztów netto, z uwzględnieniem, że podatek VAT finansowany jest proporcjonalnie.
Załącznik nr 3
SZCZEGÓŁOWY ZAKRES INFORMACJI, JAKIE ZAWIERA WNIOSEK O FINANSOWE WSPARCIE W ZAKRESIE AKTUALIZACJI KWOTY FINANSOWEGO WSPARCIA
I. Dane wnioskodawcy
A. Beneficjent wsparcia: gmina, jednoosobowa spółka gminna, której gmina powierzyła realizację zadania własnego w zakresie zaspokajania potrzeb mieszkaniowych wspólnoty samorządowej, z wyjątkiem społecznych inicjatyw mieszkaniowych albo zadania związanego z infrastrukturą techniczną lub infrastrukturą społeczną, powiat, związek międzygminny, organizacja pozarządowa, o której mowa w art. 3 ust. 2 ustawy z dnia 24 kwietnia 2003 r. o działalności pożytku publicznego i o wolontariacie (Dz. U. z 2025 r. poz. 1338), zwana dalej „organizacją pozarządową”, podmiot, o którym mowa w art. 3 ust. 3 ustawy z dnia 24 kwietnia 2003 r. o działalności pożytku publicznego i o wolontariacie.
B. Nazwa.
C. Adres, w tym adres do doręczeń elektronicznych1), o którym mowa w ustawie z dnia 18 listopada 2020 r. o doręczeniach elektronicznych (Dz. U. z 2024 r. poz. 1045 i 1841).
D. Numer identyfikacji podatkowej (NIP) oraz numer identyfikacyjny w krajowym rejestrze urzędowym podmiotów gospodarki narodowej (REGON), a dla podmiotów innych niż gmina, powiat, związek międzygminny lub uczelnia publiczna numer KRS.
E. Imię i nazwisko, służbowy numer telefonu oraz służbowy adres poczty elektronicznej osoby bezpośrednio prowadzącej sprawę.
F. W przypadku przedsięwzięć, o których mowa w art. 5 ust. 1 i art. 5c ust. 2 ustawy z dnia 8 grudnia 2006 r. o finansowym wsparciu niektórych przedsięwzięć mieszkaniowych (Dz. U. z 2024 r. poz. 304 oraz z 2025 r. poz. 680 i 1077), zwanej dalej „ustawą” - nazwa, adres, w tym adres do doręczeń elektronicznych, o którym mowa w ustawie z dnia 18 listopada 2020 r. o doręczeniach elektronicznych1), numery REGON, NIP i KRS inwestora.
G. Numer rachunku bankowego lub rachunku prowadzonego przez spółdzielczą kasę oszczędnościowo-kredytową beneficjenta wsparcia, na który zostanie przekazane finansowe wsparcie.
II. Dane dotyczące realizowanego przedsięwzięcia
Informacja o oznakowaniu umowy o finansowe wsparcie, o której mowa w art. 12 ust. 1 ustawy (znak, data zawarcia).
III. Inne
A. Wnioskowana kwota finansowego wsparcia, o której mowa w art. 13 ust. 8 ustawy (w zł), w przypadku przedsięwzięć, o których mowa w art. 5c ustawy, również w podziale na poszczególne zadania własne gminy wymienione w art. 7 ust. 1 pkt 2, 3, 4-6, 8-10 i 12 ustawy z dnia 8 marca 1990 r. o samorządzie gminnym (Dz. U. z 2025 r. poz. 1153 i 1436) lub zadania publiczne powiatu, o których mowa w art. 4 ust. 1 pkt 1-3, 6-8 i 12 ustawy z dnia 5 czerwca 1998 r. o samorządzie powiatowym (Dz. U. z 2025 r. poz. 1684).
B. Zaktualizowana przewidywana struktura finansowania przedsięwzięcia, z podziałem na środki własne inwestora (w tym wartość gruntu stanowiącego własność albo będącego w użytkowaniu wieczystym inwestora, na którym jest realizowane przedsięwzięcie, w przypadku gdy z realizacją przedsięwzięcia jest związane zawarcie umowy, o której mowa w art. 5 ust. 2 ustawy) i środki własne beneficjenta wsparcia, wsparcie finansowe na podstawie ustawy, wsparcie ze środków Rządowego Funduszu Rozwoju Mieszkalnictwa, udzielane na podstawie art. 33l ustawy z dnia 26 października 1995 r. o społecznych formach rozwoju mieszkalnictwa (Dz. U. z 2025 r. poz. 1273) w brzmieniu obowiązującym w dniu 21 sierpnia 2025 r., oraz inne źródła (kwoty oraz udział procentowy).
IV. Informacje o prawdziwości danych zawartych we wniosku, podpisane przez:
1) w przypadku gminy - wójta (burmistrza, prezydenta miasta);
2) w przypadku związku międzygminnego - zarząd związku;
3) w przypadku powiatu - starostę;
4) w przypadku jednoosobowej spółki gminnej, organizacji pozarządowej albo podmiotów, o których mowa w art. 3 ust. 3 ustawy z dnia 24 kwietnia 2003 r. o działalności pożytku publicznego i o wolontariacie - osobę lub osoby uprawnione do składania oświadczeń woli w imieniu spółki i organizacji;
5) w przypadku uczelni - rektora.
1) W przypadku braku adresu do doręczeń elektronicznych wskazuje się adres skrzynki ePUAP. Możliwość doręczania korespondencji na skrzynkę ePUAP obowiązuje do dnia określonego w art. 147 ust. 1-3 ustawy z dnia 18 listopada 2020 r. o doręczeniach elektronicznych (Dz. U. z 2024 r. poz. 1045 i 1841).
Załącznik nr 4
WZÓR - FORMULARZ, NA KTÓRYM DOKONUJE SIĘ ROZLICZENIA FAKTYCZNIE PONIESIONYCH KOSZTÓW PRZEDSIĘWZIĘCIA




Załącznik nr 5
INFORMACJE DOŁĄCZANE DO ROZLICZENIA FAKTYCZNIE PONIESIONYCH KOSZTÓW PRZEDSIĘWZIĘCIA W PRZYPADKU FINANSOWEGO WSPARCIA UDZIELONEGO WRAZ Z GRANTEM MZG LUB W RAMACH PLANU ROZWOJOWEGO
A. Informacje o tym, czy:
1) urządzenia związane z wodą, zainstalowane poza lokalami mieszkalnymi, spełniają warunki specyfikacji technicznej określone w dodatku E do załącznika I do rozporządzenia delegowanego Komisji (UE) 2021/2139 z dnia 4 czerwca 2021 r. uzupełniającego rozporządzenie Parlamentu Europejskiego i Rady (UE) 2020/852 poprzez ustanowienie technicznych kryteriów kwalifikacji służących określeniu warunków, na jakich dana działalność gospodarcza kwalifikuje się jako wnosząca istotny wkład w łagodzenie zmian klimatu lub w adaptację do zmian klimatu, a także określeniu, czy ta działalność gospodarcza nie wyrządza poważnych szkód względem żadnego z pozostałych celów środowiskowych (Dz. Urz. UE L 442 z 09.12.2021, str. 1, z późn. zm.1)), zwanego dalej „rozporządzeniem nr 2021/2139”;
2) co najmniej 70 % masy innych niż niebezpieczne odpadów z budowy i rozbiórki wytwarzanych na placu budowy jest gotowe do ponownego użycia, recyklingu i innych procesów odzysku materiału, zgodnie z ust. 7.1. pkt 4 załącznika I do rozporządzenia nr 2021/2139;
3) ograniczono wytwarzanie odpadów w procesach związanych z budową i rozbiórką, zgodnie z ust. 7.1. pkt 4 załącznika I do rozporządzenia nr 2021/2139;
4) w trakcie robót budowlanych lub konserwacyjnych wprowadzono środki służące redukcji emisji hałasu, kurzu i zanieczyszczeń.
B. W przypadku budowy budynków o powierzchni przekraczającej 5000 m2 informacja o sporządzeniu raportów z badań, o których mowa w ust. 7.1.2 załącznika I do rozporządzenia 2021/2139.
1) Zmiany wymienionego rozporządzenia zostały ogłoszone w Dz. Urz. UE L 188 z 15.07.2022, str. 1, Dz. Urz. UE L 2023/2485 z 21.11.2023, Dz. Urz. UE L 2024/90643 z 22.10.2024 oraz Dz. Urz. UE L 2024/3215 z 19.12.2024.
Konsultanci pracują od poniedziałku do piątku w godzinach 8:00 - 17:00
