DECYZJA Nr 176/MON
MINISTRA OBRONY NARODOWEJ
z dnia 5 grudnia 2025 r.
zmieniająca decyzję budżetową na rok 2025
Na podstawie art. 2 pkt 1 ustawy z dnia 14 grudnia 1995 r. o urzędzie Ministra Obrony Narodowej (Dz. U. z 2025 r. poz. 445) oraz § 1 pkt 13 lit. d i § 2 pkt 14 rozporządzenia Rady Ministrów z dnia 9 lipca 1996 r. w sprawie szczegółowego zakresu działania Ministra Obrony Narodowej (Dz. U. poz. 426 oraz z 2014 r. poz. 933) ustala się, co następuje:
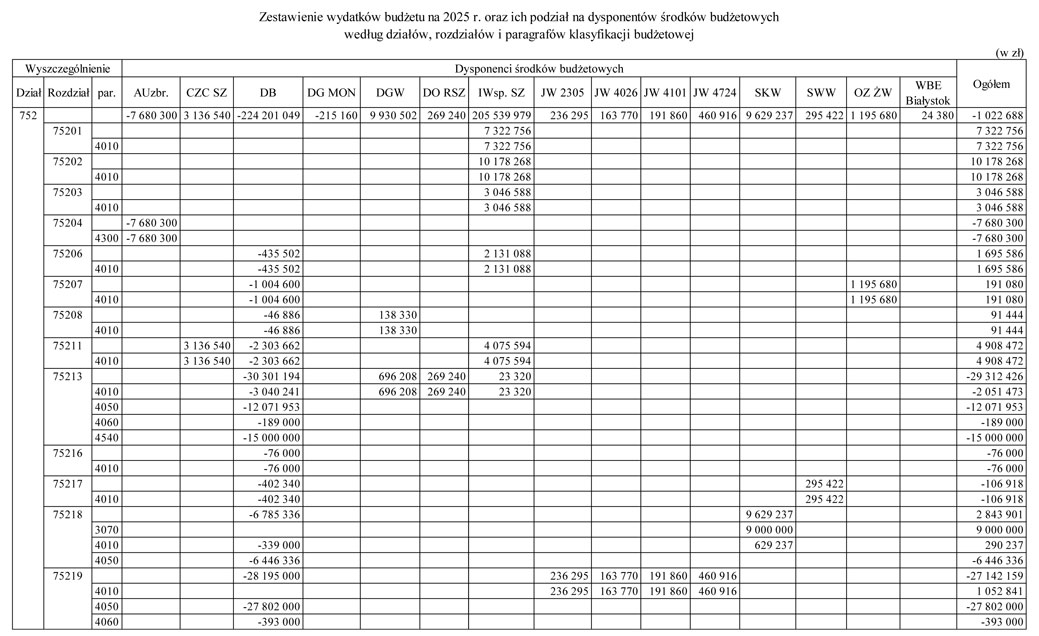
§ 1. W decyzji budżetowej na rok 2025 Nr 10/MON Ministra Obrony Narodowej z dnia 23 stycznia 2025 r. (Dz. Urz. Min. Obr. Nar. poz. 11, z późn. zm.1)) w załączniku nr 2 „Zestawienie wydatków budżetu na 2025 r. oraz ich podział na dysponentów środków budżetowych według działów, rozdziałów i paragrafów klasyfikacji budżetowej” ulegają zmianie wydatki o kwoty określone w załączniku do niniejszej decyzji.
§ 2. Decyzja wchodzi w życie z dniem ogłoszenia.
Minister Obrony Narodowej: W. Kosiniak-Kamysz
1) Zmiany wymienionej decyzji zostały ogłoszone w Dz. Urz. Min. Obr. Nar. z 2025 r. poz. 25, 41, 49, 60, 75, 78, 90, 100, 129, 137, 142, 160, 170, 181, 195 i 203.
Załącznik do decyzji Nr 176/MON Ministra Obrony Narodowej
z dnia 5 grudnia 2025 r. (poz. 211)
Zestawienie wydatków budżetu na 2025 r. oraz ich podział na dysponentów środków budżetowych według działów, rozdziałów i paragrafów klasyfikacji budżetowej


Konsultanci pracują od poniedziałku do piątku w godzinach 8:00 - 17:00
