ROZPORZĄDZENIE
MINISTRA FINANSÓW1)
z dnia 14 grudnia 2022 r.
w sprawie opłat na pokrycie kosztów nadzoru nad rynkiem kapitałowym
z dnia 14 grudnia 2022 r. (Dz.U. z 2022 r., poz. 2748)
t.j. z dnia 11 grudnia 2025 r. (Dz.U. z 2025 r., poz. 1761)
Na podstawie art. 17 ust. 14 ustawy z dnia 29 lipca 2005 r. o nadzorze nad rynkiem kapitałowym (Dz. U. z 2024 r. poz. 1161 i 1222 oraz z 2025 r. poz. 146 i 1069) zarządza się, co następuje:
§ 1. [Zakres regulacji] Rozporządzenie określa:
1) wysokość oraz sposób i terminy uiszczania opłat za:
a) dokonanie wpisu do rejestrów, o których mowa w art. 70zb ust. 1, art. 263 i art. 263r ustawy z dnia 27 maja 2004 r. o funduszach inwestycyjnych i zarządzaniu alternatywnymi funduszami inwestycyjnymi (Dz. U. z 2024 r. poz. 1034, z późn. zm.), zwanej dalej „ustawą o funduszach inwestycyjnych”,
b) zezwolenia i zgody udzielane przez Komisję Nadzoru Finansowego, zwaną dalej „Komisją”, na podstawie przepisów ustawy o funduszach inwestycyjnych,
c) zezwolenia i zgody udzielane przez Komisję na podstawie przepisów ustawy z dnia 26 października 2000 r. o giełdach towarowych (Dz. U. z 2025 r. poz. 1119), zwanej dalej „ustawą o giełdach towarowych”,
d) zezwolenia, pozwolenia i zgody udzielane przez Komisję, o których mowa w ustawie z dnia 29 lipca 2005 r. o obrocie instrumentami finansowymi (Dz. U. z 2024 r. poz. 722, z późn. zm.), zwanej dalej „ustawą o obrocie instrumentami finansowymi”, oraz zatwierdzenie przez Komisję zmian w regulaminach, o których mowa w tej ustawie,
e) złożenie do Komisji zawiadomienia oraz przekazanie informacji na podstawie przepisów ustawy o obrocie instrumentami finansowymi,
f) zezwolenia i zgody udzielane przez Komisję na podstawie przepisów ustawy z dnia 29 lipca 2005 r. o ofercie publicznej i warunkach wprowadzania instrumentów finansowych do zorganizowanego systemu obrotu oraz o spółkach publicznych (Dz. U. z 2025 r. poz. 592), zwanej dalej „ustawą o ofercie publicznej”,
g) uzyskanie przez dany podmiot statusu agencji informacyjnej w związku z wydaniem decyzji, o której mowa w art. 58 ust. 1 ustawy o ofercie publicznej,
h) zezwolenia udzielane przez Komisję na podstawie przepisów ustawy z dnia 7 lipca 2022 r. o finansowaniu społecznościowym dla przedsięwzięć gospodarczych i pomocy kredytobiorcom (Dz. U. z 2024 r. poz. 984 i 1863), zwanej dalej „ustawą o finansowaniu społecznościowym”;
2) wysokość opłaty, o której mowa w art. 94c ustawy o ofercie publicznej, oraz sposób i terminy jej uiszczania;
3) wysokość opłat, o których mowa w art. 236 ust. 2i i 2j ustawy o funduszach inwestycyjnych, oraz sposób i terminy ich uiszczania;
4) sposób i terminy uiszczania opłat, o których mowa w:
a) art. 162 ust. 9–12 i art. 163 ust. 8 i 10–16 ustawy o obrocie instrumentami finansowymi,
b) (uchylona),
c) art. 236 ust. 2b–2d i 2g ustawy o funduszach inwestycyjnych,
d) art. 93a, art. 93b, art. 94a ust. 4 i art. 94b ust. 1 ustawy o ofercie publicznej;
5) sposób wyliczania oraz sposób i terminy uiszczania opłat, o których mowa w:
a) art. 163 ust. 1–7 i 9 ustawy o obrocie instrumentami finansowymi,
b) art. 26 ust. 2–5 ustawy o giełdach towarowych,
c) art. 236 ust. 2a, 2e i 2f ustawy o funduszach inwestycyjnych,
d) art. 94a ust. 1 ustawy o ofercie publicznej,
e) art. 32 ustawy o finansowaniu społecznościowym;
6) sposób ponoszenia kosztów nadzoru nad rynkiem kapitałowym, zwanych dalej „kosztami nadzoru”, z wpływów, o których mowa w art. 17 ust. 1 ustawy z dnia 29 lipca 2005 r. o nadzorze nad rynkiem kapitałowym;
7) wielkość udziału w kosztach nadzoru poszczególnych grup podmiotów prowadzących działalność na rynku kapitałowym;
8) sposób dokumentowania wielkości uzyskanych przychodów przez zagraniczne osoby prawne, o których mowa w art. 50 ust. 1 ustawy o giełdach towarowych, prowadzące działalność na terytorium Rzeczypospolitej Polskiej w formie oddziału, zagraniczne firmy inwestycyjne prowadzące działalność maklerską na terytorium Rzeczypospolitej Polskiej w formie oddziału oraz zagraniczne osoby prawne prowadzące taką działalność na terytorium Rzeczypospolitej Polskiej.
§ 2. [Wysokość opłaty za udzielenie] 1. Wysokość opłaty za udzielenie na podstawie przepisów ustawy o obrocie instrumentami finansowymi zezwolenia na prowadzenie:
1) rynku regulowanego – wynosi równowartość w złotych 4500 euro;
2) platformy aukcyjnej – wynosi równowartość w złotych 4500 euro;
3) izby rozliczeniowej – wynosi równowartość w złotych 4500 euro;
4) izby rozrachunkowej – wynosi równowartość w złotych 4500 euro;
5) działalności maklerskiej, w tym zezwolenia, o którym mowa w art. 111a ust. 1 ustawy o obrocie instrumentami finansowymi, w zakresie:
a) przyjmowania i przekazywania zleceń nabycia lub zbycia instrumentów finansowych – wynosi równowartość w złotych 1000 euro,
b) wykonywania zleceń nabycia lub zbycia instrumentów finansowych na rachunek dającego zlecenie – wynosi równowartość w złotych 1000 euro,
c) nabywania lub zbywania na własny rachunek instrumentów finansowych – wynosi równowartość w złotych 1000 euro,
d) zarządzania portfelami, w których skład wchodzi jeden lub większa liczba instrumentów finansowych – wynosi równowartość w złotych 2500 euro,
e) doradztwa inwestycyjnego – wynosi równowartość w złotych 2000 euro,
f) oferowania instrumentów finansowych – wynosi równowartość w złotych 1000 euro,
g) świadczenia usług w wykonaniu zawartych umów o gwarancję emisji lub zawierania i wykonywania innych umów o podobnym charakterze, jeżeli ich przedmiotem są instrumenty finansowe – wynosi równowartość w złotych 1000 euro,
h) prowadzenia alternatywnego systemu obrotu – wynosi równowartość w złotych 4500 euro,
i) prowadzenia zorganizowanej platformy obrotu – wynosi równowartość w złotych 4500 euro,
j) przechowywania lub rejestrowania instrumentów finansowych, w tym prowadzenia rachunków papierów wartościowych, rachunków derywatów i rachunków zbiorczych oraz prowadzenia rachunków pieniężnych, a także prowadzenia ewidencji instrumentów finansowych – wynosi równowartość w złotych 1000 euro,
k) udzielania pożyczek pieniężnych w celu dokonania transakcji, której przedmiotem jest jeden lub większa liczba instrumentów finansowych, jeżeli transakcja ma być dokonana za pośrednictwem firmy inwestycyjnej udzielającej pożyczki – wynosi równowartość w złotych 500 euro,
l) doradztwa dla przedsiębiorstw w zakresie struktury kapitałowej, strategii przedsiębiorstwa lub innych zagadnień związanych z taką strukturą lub strategią – wynosi równowartość w złotych 500 euro,
m) doradztwa i innych usług w zakresie łączenia, podziału oraz przejmowania przedsiębiorstw – wynosi równowartość w złotych 500 euro,
n) wymiany walutowej, w przypadku gdy jest to związane z działalnością maklerską w zakresie wskazanym w art. 69 ust. 2 ustawy o obrocie instrumentami finansowymi – wynosi równowartość w złotych 500 euro,
o) sporządzania analiz inwestycyjnych, analiz finansowych oraz innych rekomendacji o charakterze ogólnym, dotyczących transakcji w zakresie instrumentów finansowych – wynosi równowartość w złotych 500 euro,
p) świadczenia usług dodatkowych związanych z umową o gwarancję emisji – wynosi równowartość w złotych 500 euro,
q) wykonywania czynności, o których mowa w lit. a–p, których przedmiotem są instrumenty bazowe instrumentów pochodnych, wskazanych w art. 2 ust. 1 pkt 2 lit. d–f oraz lit. i ustawy o obrocie instrumentami finansowymi, jeżeli czynności te pozostają w związku z działalnością maklerską – wynosi równowartość w złotych 500 euro;
6) przez zagraniczną osobę prawną prowadzącą działalność maklerską i mającą siedzibę na terytorium państwa innego niż państwo członkowskie działalności maklerskiej w formie oddziału – wynosi równowartość w złotych 4500 euro;
7) przez bank powierniczy rachunków papierów wartościowych, rachunków derywatów i rachunków zbiorczych – wynosi równowartość w złotych 4500 euro.
1a. Wysokość opłaty za udzielenie bankowi powierniczemu zezwolenia, o którym mowa w art. 123a ust. 1 ustawy o obrocie instrumentami finansowymi, wynosi równowartość w złotych 2000 euro.
2. Wysokość opłaty za udzielenie zezwolenia, o którym mowa w art. 27c ust. 1 rozporządzenia Parlamentu Europejskiego i Rady (UE) nr 600/2014 z dnia 15 maja 2014 r. w sprawie rynków instrumentów finansowych oraz zmieniającego rozporządzenie (UE) nr 648/2012 (Dz. Urz. UE L 173 z 12.06.2014, str. 84, z późn. zm.), zatwierdzonemu podmiotowi publikującemu lub zatwierdzonemu mechanizmowi sprawozdawczemu wynosi równowartość w złotych 4500 euro.
3. W przypadku gdy wniosek o udzielenie zezwolenia na prowadzenie działalności maklerskiej dotyczy więcej niż jednej czynności, o których mowa w ust. 1 pkt 5, łączna wysokość pobieranych opłat nie może być wyższa niż równowartość w złotych 4500 euro.
§ 3. [Wysokość opłaty za przekazanie Komisji odpowiednich informacji dotyczących działalności maklerskiej] Wysokość opłaty za przekazanie Komisji przez właściwy organ nadzoru innego państwa członkowskiego, który udzielił zagranicznej firmie inwestycyjnej zezwolenia na prowadzenie działalności maklerskiej, odpowiednich informacji dotyczących działalności maklerskiej, jaka ma być przez tę firmę inwestycyjną prowadzona na terytorium Rzeczypospolitej Polskiej w sposób określony w art. 117 ust. 3b pkt 2 ustawy o obrocie instrumentami finansowymi, wynosi równowartość w złotych 300 euro.
§ 4. [Wysokość opłaty za udzielenie zezwolenia i zgody na podstawie przepisów rozporządzenia Parlamentu Europejskiego i Rady (UE) w sprawie instrumentów pochodnych będących przedmiotem obrotu poza rynkiem regulowanym, kontrahentów centralnych i repozytoriów transakcji] Wysokość opłaty za udzielenie na podstawie przepisów rozporządzenia Parlamentu Europejskiego i Rady (UE) nr 648/2012 z dnia 4 lipca 2012 r. w sprawie instrumentów pochodnych będących przedmiotem obrotu poza rynkiem regulowanym, kontrahentów centralnych i repozytoriów transakcji (Dz. Urz. UE L 201 z 27.07.2012, str. 1, z późn. zm.):
1) zezwolenia na świadczenie usług rozliczeniowych jako CCP, w rozumieniu art. 2 pkt 1 tego rozporządzenia – wynosi równowartość w złotych 4500 euro;
2) zezwolenia na rozszerzenie zakresu wydanego zezwolenia na świadczenie usług rozliczeniowych jako CCP, w rozumieniu art. 2 pkt 1 tego rozporządzenia – wynosi równowartość w złotych 4500 euro;
3) zezwolenia na transakcje wewnątrzgrupowe, o których mowa w art. 4 ust. 2 i art. 11 ust. 6, 8 i 10 tego rozporządzenia – wynosi równowartość w złotych 4500 euro;
4) zgody na istotną zmianę modeli i parametrów, o których mowa w art. 49 ust. 1 tego rozporządzenia – wynosi równowartość w złotych 4500 euro.
§ 5. [Wysokość opłaty za udzielenie domowi maklerskiemu zezwolenia, pozwolenia lub zgody na podstawie przepisów rozporządzenia Parlamentu Europejskiego i Rady (UE)] Wysokość opłaty za udzielenie domowi maklerskiemu zezwolenia, pozwolenia lub zgody na podstawie przepisów rozporządzenia Parlamentu Europejskiego i Rady (UE) 2019/2033 z dnia 27 listopada 2019 r. w sprawie wymogów ostrożnościowych dla firm inwestycyjnych oraz zmieniającego rozporządzenia (UE) nr 1093/2010, (UE) nr 575/2013, (UE) nr 600/2014 i (UE) nr 806/2014 (Dz. Urz. UE L 314 z 05.12.2019, str. 1, z późn. zm.) lub rozporządzenia Parlamentu Europejskiego i Rady (UE) nr 575/2013 z dnia 26 czerwca 2013 r. w sprawie wymogów ostrożnościowych dla instytucji kredytowych oraz zmieniającego rozporządzenie (UE) nr 648/2012 (Dz. Urz. UE L 176 z 27.06.2013, str. 1, z późn. zm.), zwanego dalej „rozporządzeniem 575/2013”, wynosi równowartość w złotych 1000 euro, z wyjątkiem zezwolenia, pozwolenia lub zgody, o których mowa w:
1) art. 26 ust. 3, art. 77, art. 79 ust. 1 i art. 396 ust. 1 rozporządzenia 575/2013 – których wysokość wynosi równowartość w złotych 300 euro;
2) części trzeciej w tytule drugim w rozdziałach 3–6, części trzeciej w tytule trzecim oraz tytule czwartym, z wyłączeniem zgody, o której mowa w art. 385 rozporządzenia 575/2013 – których wysokość wynosi równowartość w złotych 4500 euro.
§ 6. [Wysokość opłaty za udzielenie zgody] Wysokość opłaty za udzielenie zgody, o której mowa w:
1) art. 22 ust. 2 ustawy o obrocie instrumentami finansowymi – wynosi równowartość w złotych 2000 euro;
2) art. 27 ust. 1 ustawy o obrocie instrumentami finansowymi – wynosi równowartość w złotych 300 euro;
3) art. 29 ust. 1 ustawy o obrocie instrumentami finansowymi – wynosi równowartość w złotych 300 euro;
4) art. 51 ust. 3 ustawy o obrocie instrumentami finansowymi – wynosi równowartość w złotych 4500 euro;
5) art. 102a ust. 1 ustawy o obrocie instrumentami finansowymi – wynosi równowartość w złotych 300 euro;
6) art. 167 ust. 4 ustawy o obrocie instrumentami finansowymi – wynosi równowartość w złotych 1000 euro;
7) art. 169 ust. 14 i 15 ustawy o obrocie instrumentami finansowymi – wynosi równowartość w złotych 1000 euro.
§ 7. [Wysokość opłaty za dokonanie] 1. Wysokość opłaty za dokonane na podstawie przepisów ustawy o obrocie instrumentami finansowymi:
1) zatwierdzenie zmian w regulaminie Krajowego Depozytu – wynosi równowartość w złotych 300 euro;
2) zatwierdzenie zmian w regulaminie spółki, której Krajowy Depozyt przekazał wykonywanie czynności z zakresu zadań, o których mowa w art. 48 ust. 1 pkt 1–6 i ust. 2 ustawy o obrocie instrumentami finansowymi – wynosi równowartość w złotych 300 euro;
3) zatwierdzenie zmian w regulaminie izby rozliczeniowej lub izby rozrachunkowej – wynosi równowartość w złotych 300 euro;
4) zatwierdzenie zmian w regulaminie funduszu rozliczeniowego zarządzanego przez izbę rozliczeniową, Krajowy Depozyt lub spółkę, której Krajowy Depozyt przekazał wykonywanie czynności z zakresu zadań, o których mowa w art. 48 ust. 2 pkt 1 ustawy o obrocie instrumentami finansowymi – wynosi równowartość w złotych 300 euro;
5) zatwierdzenie zmian w regulaminie funkcjonowania systemu rekompensat – wynosi równowartość w złotych 300 euro;
6) złożenie zawiadomienia, o którym mowa w art. 21 ust. 3a ustawy o obrocie instrumentami finansowymi – wynosi równowartość w złotych 4500 euro;
7) przekazanie informacji, o której mowa w art. 21 ust. 3b ustawy o obrocie instrumentami finansowymi – wynosi równowartość w złotych 300 euro.
2. Wysokość opłaty za zatwierdzenie zmian w odrębnym regulaminie Krajowego Depozytu mającym zastosowanie do pełnienia przez Krajowy Depozyt funkcji giełdowej izby rozrachunkowej lub w odrębnym regulaminie mającym zastosowanie do pełnienia przez spółkę, której Krajowy Depozyt przekazał wykonywanie czynności, o których mowa w art. 48 ust. 2 ustawy o obrocie instrumentami finansowymi, funkcji giełdowej izby rozrachunkowej – wynosi równowartość w złotych 300 euro.
§ 8. [Wysokość opłaty za udzielenie zgody] 1. Wysokość opłaty za udzielenie zgody, o której mowa w:
1) art. 62 ust. 4 ustawy o ofercie publicznej – wynosi równowartość w złotych 4500 euro;
2) art. 79 ust. 4a ustawy o ofercie publicznej – wynosi równowartość w złotych 4500 euro.
2. Wysokość opłaty za udzielenie zezwolenia, o którym mowa w art. 91 ust. 1 ustawy o ofercie publicznej, wynosi równowartość w złotych 4500 euro.
§ 9. [Wysokość opłaty za uzyskanie przez dany podmiot statusu agencji informacyjnej] Wysokość opłaty za uzyskanie przez dany podmiot statusu agencji informacyjnej w związku z wydaniem decyzji, o której mowa w art. 58 ust. 1 ustawy o ofercie publicznej, wynosi równowartości w złotych 4500 euro.
§ 10. [Wysokość opłaty za udzielenie zezwolenia] 1. Wysokość opłaty za udzielenie na podstawie przepisów ustawy o funduszach inwestycyjnych zezwolenia na:
1) utworzenie funduszu inwestycyjnego – wynosi równowartość w złotych 4000 euro, a w przypadku zezwolenia na utworzenie:
a) funduszu z wydzielonymi subfunduszami – równowartość w złotych 4500 euro,
b) funduszu powiązanego będącego funduszem inwestycyjnym otwartym – równowartość w złotych 3000 euro,
c) funduszu powiązanego będącego specjalistycznym funduszem inwestycyjnym otwartym lub funduszem inwestycyjnym zamkniętym – równowartość w złotych 2000 euro,
d) funduszu inwestycyjnego, który ma być funduszem przejmującym podczas połączenia krajowego funduszy – równowartość w złotych 4500 euro,
e) funduszu inwestycyjnego, który ma być funduszem przejmującym podczas połączenia transgranicznego przez utworzenie funduszu krajowego – równowartość w złotych 4500 euro;
2) zmianę statutu funduszu inwestycyjnego w zakresie dotyczącym utworzenia każdego nowego subfunduszu, z wyjątkiem utworzenia subfunduszu jako subfunduszu powiązanego w funduszu inwestycyjnym otwartym – wynosi równowartość w złotych 1000 euro;
3) zmianę statutu funduszu inwestycyjnego otwartego w zakresie dotyczącym utworzenia każdego nowego subfunduszu jako subfunduszu powiązanego – wynosi równowartość w złotych 3000 euro;
4) zmianę statutu funduszu inwestycyjnego w innym zakresie niż wskazany w pkt 2 lub 3 – wynosi równowartość w złotych 300 euro;
5) rozpoczęcie prowadzenia przez fundusz inwestycyjny otwarty działalności jako fundusz powiązany – wynosi równowartość w złotych 3000 euro;
6) rozpoczęcie prowadzenia działalności przez subfundusz wydzielony w funduszu inwestycyjnym otwartym jako subfundusz powiązany – wynosi równowartość w złotych 3000 euro;
7) dokonanie przez fundusz powiązany zmiany funduszu podstawowego – wynosi równowartość w złotych 4000 euro;
8) zaprzestanie przez fundusz powiązany prowadzenia działalności jako fundusz powiązany – wynosi równowartość w złotych 3000 euro;
9) prowadzenie przez fundusz powiązany działalności jako fundusz powiązany dotychczasowego funduszu podstawowego także po jego połączeniu lub jako fundusz powiązany funduszu zagranicznego będącego dotychczas funduszem podstawowym także po dokonaniu jego podziału – wynosi równowartość w złotych 4000 euro;
10) zbywanie i odkupywanie jednostek uczestnictwa lub tytułów uczestnictwa za pośrednictwem podmiotu, o którym mowa w art. 32 ust. 2 ustawy o funduszach inwestycyjnych – wynosi równowartość w złotych 1000 euro;
11) wykonywanie działalności przez towarzystwo funduszy inwestycyjnych – wynosi równowartość w złotych 4500 euro;
12) wykonywanie działalności przez towarzystwo, które wraz z wnioskiem o wydanie takiego zezwolenia złożyło wyłącznie wniosek o wydanie zezwolenia na utworzenie funduszu inwestycyjnego otwartego, co do którego zawarło umowę, o której mowa w art. 4 ust. 1a ustawy o funduszach inwestycyjnych, oraz nie będzie zarządzać funduszami, o których mowa w art. 15 ust. 1a ustawy o funduszach inwestycyjnych – wynosi równowartość w złotych 4500 euro;
13) rozszerzenie przedmiotu działalności towarzystwa funduszy inwestycyjnych o:
a) doradztwo inwestycyjne – wynosi równowartość w złotych 2000 euro,
b) zarządzanie portfelami, w których skład wchodzi jeden lub większa liczba instrumentów finansowych – wynosi równowartość w złotych 2500 euro,
c) przyjmowanie i przekazywanie zleceń nabycia lub zbycia instrumentów finansowych – wynosi równowartość w złotych 1000 euro;
14) zarządzanie zbiorczym portfelem papierów wartościowych – wynosi równowartość w złotych 2500 euro;
15) zarządzanie sekurytyzowanymi wierzytelnościami funduszu sekurytyzacyjnego przez podmiot inny niż towarzystwo funduszy inwestycyjnych – wynosi równowartość w złotych 2000 euro;
16) przekształcenie funduszy inwestycyjnych otwartych lub specjalistycznych funduszy inwestycyjnych otwartych, zarządzanych przez to samo towarzystwo funduszy inwestycyjnych, w jeden fundusz inwestycyjny z wydzielonymi subfunduszami, w trybie określonym w art. 240 ustawy o funduszach inwestycyjnych – wynosi równowartość w złotych 4500 euro;
17) przekształcenie funduszu inwestycyjnego otwartego w nowy subfundusz istniejącego funduszu inwestycyjnego otwartego z wydzielonymi subfunduszami zarządzanego przez to samo towarzystwo, w trybie określonym w art. 240 ustawy o funduszach inwestycyjnych – wynosi równowartość w złotych 4000 euro;
18) przekształcenie specjalistycznego funduszu inwestycyjnego otwartego w nowy subfundusz istniejącego specjalistycznego funduszu inwestycyjnego otwartego z wydzielonymi subfunduszami zarządzanego przez to samo towarzystwo, w trybie określonym w art. 240 ustawy o funduszach inwestycyjnych – wynosi równowartość w złotych 4000 euro;
19) przejęcie przez towarzystwo funduszy inwestycyjnych zarządzania funduszem inwestycyjnym – wynosi równowartość w złotych 3500 euro;
20) przejęcie przez spółkę zarządzającą zarządzania funduszem inwestycyjnym otwartym i prowadzenia jego spraw na podstawie umowy, o której mowa w art. 4 ust. 1a ustawy o funduszach inwestycyjnych – wynosi równowartość w złotych 3500 euro;
21) przejęcie przez zarządzającego z Unii Europejskiej zarządzania specjalistycznym funduszem inwestycyjnym otwartym lub funduszem inwestycyjnym zamkniętym i prowadzenia jego spraw – wynosi równowartość w złotych 3500 euro;
22) zarządzanie alternatywnymi funduszami inwestycyjnymi udzielanego towarzystwu funduszy inwestycyjnych – wynosi równowartość w złotych 2000 euro;
23) zarządzanie alternatywnymi funduszami inwestycyjnymi udzielanego spółce wraz z zezwoleniem na wykonywanie działalności przez towarzystwo funduszy inwestycyjnych – wynosi równowartość w złotych 4500 euro;
24) wykonywanie działalności przez zarządzającego alternatywną spółką inwestycyjną – wynosi równowartość w złotych 4500 euro;
25) przejęcie przez zewnętrznie zarządzającego alternatywną spółką inwestycyjną od dotychczasowego komplementariusza zarządzania alternatywną spółką inwestycyjną – wynosi równowartość w złotych 3500 euro;
26) przejęcie przez zarządzającego z Unii Europejskiej od dotychczasowego komplementariusza zarządzania alternatywną spółką inwestycyjną – wynosi równowartość w złotych 3500 euro.
2. W przypadku udzielenia zezwolenia na utworzenie funduszu inwestycyjnego, o którym mowa w ust. 1 pkt 1, którego certyfikaty inwestycyjne podlegają opłacie ewidencyjnej, wysokość opłaty ewidencyjnej zmniejsza się o wysokość opłaty za zezwolenie na utworzenie takiego funduszu.
§ 11. [Wysokość opłaty za udzielenie zgody] Wysokość opłaty za udzielenie zgody:
1) o której mowa w art. 46 ust. 3a ustawy o funduszach inwestycyjnych – wynosi równowartość w złotych 2000 euro;
2) o której mowa w art. 46b ust. 2 ustawy o funduszach inwestycyjnych – wynosi równowartość w złotych 2000 euro;
3) o której mowa w art. 70g ust. 6 ustawy o funduszach inwestycyjnych – wynosi równowartość w złotych 2000 euro;
4) na zmianę depozytariusza, o której mowa w art. 80 ust. 1 ustawy o funduszach inwestycyjnych – wynosi równowartość w złotych 1000 euro;
5) na dokonywanie przez fundusz inwestycyjny czynności prawnych, o których mowa w art. 93 ust. 2 ustawy o funduszach inwestycyjnych – wynosi równowartość w złotych 2000 euro;
6) na lokowanie aktywów funduszu w depozyty w bankach zagranicznych, o której mowa w art. 93 ust. 3 ustawy o funduszach inwestycyjnych – wynosi równowartość w złotych 2000 euro;
7) na połączenie wewnętrzne funduszy, o której mowa w art. 208a ust. 1 ustawy o funduszach inwestycyjnych – wynosi równowartość w złotych:
a) 1000 euro – w przypadku funduszy, o których mowa w art. 38 ustawy z dnia 4 października 2018 r. o pracowniczych planach kapitałowych (Dz. U. z 2024 r. poz. 427 oraz z 2025 r. poz. 1216), lub funduszu, o którym mowa w art. 39 tej ustawy,
b) 2000 euro – w przypadku pozostałych funduszy;
8) na połączenie krajowe funduszy, o której mowa w art. 208i ust. 1 pkt 2 ustawy o funduszach inwestycyjnych – wynosi równowartość w złotych:
a) 1000 euro – w przypadku funduszy, o których mowa w art. 38 ustawy z dnia 4 października 2018 r. o pracowniczych planach kapitałowych, lub funduszu, o którym mowa w art. 39 tej ustawy,
b) 3000 euro – w przypadku pozostałych funduszy;
9) na połączenie transgraniczne przez przejęcie funduszu krajowego, o której mowa w art. 208zc ust. 2 pkt 1 ustawy o funduszach inwestycyjnych – wynosi równowartość w złotych 4000 euro;
10) na połączenie transgraniczne przez utworzenie funduszu zagranicznego, o której mowa w art. 208zc ust. 2 pkt 2 ustawy o funduszach inwestycyjnych – wynosi równowartość w złotych 4000 euro.
§ 12. [Wysokość opłaty za dokonanie wpisu do rejestru] Wysokość opłaty za dokonanie wpisu do rejestru, o którym mowa w:
1) art. 70zb ust. 1 ustawy o funduszach inwestycyjnych – wynosi równowartość w złotych 2000 euro;
2) art. 263 ustawy o funduszach inwestycyjnych:
a) funduszu zagranicznego – wynosi równowartość w złotych 2000 euro,
b) funduszu zagranicznego z wydzielonymi subfunduszami – wynosi równowartość w złotych 2000 euro,
c) funduszu inwestycyjnego otwartego z siedzibą w państwie należącym do Europejskiego Obszaru Gospodarczego (EEA) – wynosi równowartość w złotych 2000 euro,
d) funduszu inwestycyjnego otwartego z wydzielonymi subfunduszami z siedzibą w państwie należącym do EEA – wynosi równowartość w złotych 2000 euro,
e) drugiego i każdego następnego subfunduszu wydzielonego w funduszu zagranicznym z wydzielonymi subfunduszami – wynosi równowartość w złotych 300 euro,
f) drugiego i każdego następnego subfunduszu wydzielonego w funduszu inwestycyjnym otwartym z wydzielonymi subfunduszami z siedzibą w państwie należącym do EEA – wynosi równowartość w złotych 300 euro;
3) art. 263r ustawy o funduszach inwestycyjnych:
a) unijnego AFI, który może być wprowadzany do obrotu na terytorium Rzeczypospolitej Polskiej wyłącznie wśród klientów profesjonalnych – wynosi równowartość w złotych 300 euro,
b) unijnego AFI z wydzielonymi subfunduszami, którego subfundusze mogą być wprowadzane do obrotu na terytorium Rzeczypospolitej Polskiej wyłącznie wśród klientów profesjonalnych – wynosi równowartość w złotych 300 euro,
c) unijnego AFI, który może być wprowadzany do obrotu na terytorium Rzeczypospolitej Polskiej wśród klientów detalicznych – wynosi równowartość w złotych 1200 euro,
d) unijnego AFI z wydzielonymi subfunduszami, z których przynajmniej jeden subfundusz może być wprowadzany do obrotu na terytorium Rzeczypospolitej Polskiej wśród klientów detalicznych – wynosi równowartość w złotych 1200 euro,
e) drugiego i każdego następnego subfunduszu wydzielonego w unijnym AFI z wydzielonymi subfunduszami – wynosi równowartość w złotych:
– 300 euro – w przypadku subfunduszu, który może być wprowadzany do obrotu na terytorium Rzeczypospolitej Polskiej wyłącznie wśród klientów profesjonalnych,
– 1200 euro – w przypadku subfunduszu, który może być wprowadzany do obrotu na terytorium Rzeczypospolitej Polskiej wśród klientów detalicznych.
§ 13. [Wysokość opłaty na podstawie przepisów ustawy o giełdach towarowych] 1. Wysokość opłaty za udzielenie na podstawie przepisów ustawy o giełdach towarowych:
1) zezwolenia na prowadzenie giełdy towarowej – wynosi równowartość w złotych 4500 euro;
2) zezwolenia towarowemu domowi maklerskiemu lub zagranicznej osobie prawnej, o której mowa w art. 50 ust. 1 ustawy o giełdach towarowych, w zakresie:
a) nabywania lub zbywania towarów giełdowych na cudzy rachunek w ramach świadczenia usług brokerskich – wynosi równowartość w złotych 1500 euro,
b) prowadzenia rachunków lub rejestrów towarów giełdowych w obrocie giełdowym, z wyłączeniem towarów giełdowych będących oznaczonymi co do gatunku rzeczami – wynosi równowartość w złotych 1000 euro,
c) doradztwa w zakresie obrotu giełdowego – wynosi równowartość w złotych 500 euro;
3) zgody na dokonanie zmian w statucie lub regulaminie spółki prowadzącej giełdę towarową – wynosi równowartość w złotych 300 euro;
4) zgody na dokonanie zmian w statucie lub regulaminie spółki prowadzącej giełdową izbę rozrachunkową – wynosi równowartość w złotych 300 euro;
5) zgody na nabycie lub objęcie udziałów lub akcji towarowego domu maklerskiego w liczbie, która spowoduje osiągnięcie lub przekroczenie 10 %, 20 %, 33 % lub 50 % głosów na zgromadzeniu wspólników albo na walnym zgromadzeniu – wynosi równowartość w złotych 2000 euro.
2. W przypadku gdy wniosek o udzielenie zezwolenia dotyczy więcej niż jednej czynności, o których mowa w ust. 1 pkt 2, łączna wysokość opłat nie może być wyższa niż równowartość w złotych 4500 euro.
3. (uchylony).
§ 14. [Wysokość opłaty za udzielenie zezwolenia] 1. Wysokość opłaty za udzielenie zezwolenia, o którym mowa w art. 12 ust. 1 rozporządzenia Parlamentu Europejskiego i Rady (UE) 2020/1503 z dnia 7 października 2020 r. w sprawie europejskich dostawców usług finansowania społecznościowego dla przedsięwzięć gospodarczych oraz zmieniającego rozporządzenie (UE) 2017/1129 i dyrektywę (UE) 2019/1937 (Dz. Urz. UE L 347 z 20.10.2020, str. 1), zwanego dalej „rozporządzeniem 2020/1503”, w przypadku gdy dostawca usług finansowania społecznościowego zamierza świadczyć usługi, o których mowa w art. 2 ust. 1 lit. a:
1) pkt i rozporządzenia 2020/1503 – wynosi równowartość w złotych 2250 euro;
2) pkt ii rozporządzenia 2020/1503 – wynosi równowartość w złotych 2250 euro;
3) pkt i oraz ii rozporządzenia 2020/1503 – wynosi równowartość w złotych 4500 euro.
2. Wysokość opłaty za rozszerzenie zakresu zezwolenia, o którym mowa w ust. 1 pkt 1 lub 2, wynosi równowartość w złotych 2250 euro.
§ 15. [Termin uiszczenia opłat] 1. Opłaty, o których mowa w § 2–14, uiszcza się w terminie 14 dni odpowiednio od dnia:
1) doręczenia decyzji w sprawie udzielenia zezwolenia, pozwolenia albo zgody;
2) doręczenia decyzji zatwierdzającej zmianę regulaminu;
3) doręczenia dokumentu potwierdzającego dokonanie wpisu do rejestru;
4) złożenia zawiadomienia lub przekazania informacji;
5) doręczenia zagranicznej firmie inwestycyjnej informacji o warunkach prowadzenia działalności maklerskiej na terenie Rzeczypospolitej Polskiej, o których mowa w art. 117 ust. 3 ustawy o obrocie instrumentami finansowymi;
6) uzyskania przez dany podmiot statusu agencji informacyjnej w związku z wydaniem decyzji, o której mowa w art. 58 ust. 1 ustawy o ofercie publicznej.
2. W przypadku gdy decyzja rozstrzyga sprawę w części, termin, o którym mowa w ust. 1, biegnie od dnia doręczenia decyzji rozstrzygającej sprawę w części, o ile udziela ona zezwolenia albo zgody.
3. Opłaty, o których mowa w art. 162 ust. 9–12 ustawy o obrocie instrumentami finansowymi, uiszcza się w terminie 14 dni odpowiednio od dnia doręczenia decyzji w sprawie:
1) udzielenia zezwolenia na postawie rozporządzenia Parlamentu Europejskiego i Rady (UE) 2016/1011 z dnia 8 czerwca 2016 r. w sprawie indeksów stosowanych jako wskaźniki referencyjne w instrumentach finansowych i umowach finansowych lub do pomiaru wyników funduszy inwestycyjnych i zmieniającego dyrektywy 2008/48/WE i 2014/17/UE oraz rozporządzenie (UE) nr 596/2014 (Dz. Urz. UE L 171 z 29.06.2016, str. 1, z późn. zm.), zwanego dalej „rozporządzeniem 2016/1011”;
2) dokonania rejestracji, zatwierdzenia lub uznania na podstawie rozporządzenia 2016/1011.
4. Opłaty, o których mowa w art. 93a i art. 93b ustawy o ofercie publicznej, uiszcza się w terminie 14 dni od dnia doręczenia odpowiednio decyzji zatwierdzającej prospekt emisyjny lub decyzji zatwierdzającej memorandum informacyjne.
5. W przypadku udzielenia zezwolenia na utworzenie funduszu inwestycyjnego, o którym mowa w § 10 ust. 1 pkt 1, albo udzielenia zezwolenia na zmiany statutu funduszu, o których mowa w § 10 ust. 1 pkt 2–4, które są równoznaczne z zatwierdzeniem przez Komisję prospektu emisyjnego lub memorandum informacyjnego, opłatę, o której mowa w § 10, łącznie z opłatą, o której mowa w art. 93a i art. 93b ustawy o ofercie publicznej, uiszcza się w terminie 14 dni od dnia doręczenia decyzji udzielającej zezwolenia.
§ 16. [Roczna opłata] 1. Od agencji informacyjnej, o której mowa w art. 58 ust. 1 ustawy o ofercie publicznej, pobiera się roczną opłatę w wysokości równowartości w złotych 10 000 euro.
2. Opłatę, o której mowa w ust. 1, uiszcza się w wysokości 1/4 stawki rocznej w terminie do ostatniego dnia każdego kwartału danego roku kalendarzowego.
§ 17. [Wysokość opłaty rocznej] 1. Wysokość opłaty rocznej, o której mowa w art. 236 ust. 2i ustawy o funduszach inwestycyjnych, wynosi równowartość w złotych 1000 euro w przypadku:
1) funduszu zagranicznego;
2) funduszu zagranicznego z wydzielonymi subfunduszami;
3) funduszu inwestycyjnego otwartego z siedzibą w państwie należącym do EEA;
4) funduszu inwestycyjnego otwartego z wydzielonymi subfunduszami z siedzibą w państwie należącym do EEA.
2. Opłata roczna, o której mowa w ust. 1, jest powiększana o równowartość w złotych 200 euro za każdy subfundusz wydzielony w:
1) funduszu zagranicznym, który jest wpisany do rejestru, o którym mowa w art. 263 ustawy o funduszach inwestycyjnych, na dzień 1 stycznia roku, za który jest pobierana opłata roczna,
2) funduszu inwestycyjnym otwartym z siedzibą w państwie należącym do EEA, który jest wpisany do rejestru, o którym mowa w art. 263 ustawy o funduszach inwestycyjnych, na dzień 1 stycznia roku, za który jest pobierana opłata roczna
– począwszy od drugiego subfunduszu.
3. Wysokość opłaty rocznej, o której mowa w art. 236 ust. 2j ustawy o funduszach inwestycyjnych, wynosi:
1) równowartość w złotych 300 euro, w przypadku:
a) unijnego AFI, który może być wprowadzany do obrotu na terytorium Rzeczypospolitej Polskiej wyłącznie wśród klientów profesjonalnych,
b) unijnego AFI z wydzielonymi subfunduszami, którego subfundusze mogą być wprowadzane do obrotu na terytorium Rzeczypospolitej Polskiej wyłącznie wśród klientów profesjonalnych,
c) alternatywnego funduszu inwestycyjnego z siedzibą w państwie należącym do EEA, który może być wprowadzany do obrotu na terytorium Rzeczypospolitej Polskiej wyłącznie wśród klientów profesjonalnych,
d) alternatywnego funduszu inwestycyjnego z wydzielonymi subfunduszami z siedzibą w państwie należącym do EEA, którego subfundusze mogą być wprowadzane do obrotu na terytorium Rzeczypospolitej Polskiej wyłącznie wśród klientów profesjonalnych;
2) równowartość w złotych 1000 euro, w przypadku:
a) unijnego AFI, który może być wprowadzany do obrotu na terytorium Rzeczypospolitej Polskiej wśród klientów detalicznych,
b) unijnego AFI z wydzielonymi subfunduszami, z których przynajmniej jeden subfundusz może być wprowadzany do obrotu na terytorium Rzeczypospolitej Polskiej wśród klientów detalicznych,
c) alternatywnego funduszu inwestycyjnego z siedzibą w państwie należącym do EEA, który może być wprowadzany do obrotu na terytorium Rzeczypospolitej Polskiej wśród klientów detalicznych,
d) alternatywnego funduszu inwestycyjnego z wydzielonymi subfunduszami z siedzibą w państwie należącym do EEA, z których przynajmniej jeden subfundusz może być wprowadzany do obrotu na terytorium Rzeczypospolitej Polskiej wśród klientów detalicznych.
4. Opłata roczna, o której mowa w ust. 3, jest powiększana o równowartość w złotych:
1) 200 euro za każdy subfundusz wydzielony w unijnym AFI, który jest wpisany do rejestru, o którym mowa w art. 263r ustawy o funduszach inwestycyjnych, na dzień 1 stycznia roku, za który jest pobierana opłata roczna, począwszy od drugiego subfunduszu, który może być wprowadzany do obrotu na terytorium Rzeczypospolitej Polskiej wyłącznie wśród klientów profesjonalnych;
2) 200 euro za każdy subfundusz wydzielony w alternatywnym funduszu inwestycyjnym z siedzibą w państwie należącym do EEA, który jest wpisany do rejestru, o którym mowa w art. 263r ustawy o funduszach inwestycyjnych, na dzień 1 stycznia roku, za który jest pobierana opłata roczna, począwszy od drugiego subfunduszu, który może być wprowadzany do obrotu na terytorium Rzeczypospolitej Polskiej wyłącznie wśród klientów profesjonalnych;
3) 500 euro za każdy subfundusz wydzielony w unijnym AFI, który jest wpisany do rejestru, o którym mowa w art. 263r ustawy o funduszach inwestycyjnych, na dzień 1 stycznia roku, za który jest pobierana opłata roczna, począwszy od drugiego subfunduszu, który może być wprowadzany do obrotu na terytorium Rzeczypospolitej Polskiej wśród klientów detalicznych;
4) 500 euro za każdy subfundusz wydzielony w alternatywnym funduszu inwestycyjnym z siedzibą w państwie należącym do EEA, który jest wpisany do rejestru, o którym mowa w art. 263r ustawy o funduszach inwestycyjnych, na dzień 1 stycznia roku, za który jest pobierana opłata roczna, począwszy od drugiego subfunduszu, który może być wprowadzany do obrotu na terytorium Rzeczypospolitej Polskiej wśród klientów detalicznych.
5. Opłatę roczną, o której mowa w ust. 1 i 3, powiększoną o opłaty, o których mowa w ust. 2 i 4, uiszcza się jednorazowo w terminie do dnia 31 marca roku kalendarzowego następującego po roku kalendarzowym, w którym fundusz został wpisany do rejestru, o którym mowa odpowiednio w art. 263 albo art. 263r ustawy o funduszach inwestycyjnych.
§ 18. [Opłaty] Opłaty, o których mowa w:
1) (uchylony),
2) art. 236 ust. 2b–2d i 2g ustawy o funduszach inwestycyjnych,
3) art. 163 ust. 8 i 10–16 ustawy o obrocie instrumentami finansowymi,
4) art. 94a ust. 4 i art. 94b ust. 1 ustawy o ofercie publicznej
– wnosi się jednorazowo, w terminie do dnia 31 grudnia danego roku kalendarzowego.
§ 19. [Koszty nadzoru netto] 1. Część kwoty kosztów nadzoru do pokrycia w danym roku kalendarzowym podlegającą rozliczeniu między podmioty nadzorowane w ramach grup, o których mowa w § 20, zwaną dalej „kosztami nadzoru netto”, z uwzględnieniem różnicy między kosztami planowanymi a wykonanymi roku poprzedniego, oblicza się, pomniejszając całkowitą kwotę planowanych kosztów, o których mowa w art. 19a ust. 2 pkt 1 ustawy z dnia 21 lipca 2006 r. o nadzorze nad rynkiem finansowym (Dz. U. z 2025 r. poz. 640 i 1069), zwanej dalej „ustawą o nadzorze”, ujętych w planie finansowym Urzędu Komisji Nadzoru Finansowego na dany rok, w części przypadającej na koszty nadzoru, o:
1) kwotę odpowiadającą 16,5 % tej kwoty, pokrywaną ze środków, o których mowa w art. 131a ust. 1 ustawy z dnia 29 sierpnia 1997 r. – Prawo bankowe (Dz. U. z 2024 r. poz. 1646, z późn. zm.);
2) kwotę odpowiadającą 1,5 % tej kwoty, pokrywaną ze środków, o których mowa w art. 14 ust. 1 pkt 1 ustawy z dnia 22 maja 2003 r. o nadzorze ubezpieczeniowym i emerytalnym (Dz. U. z 2025 r. poz. 1591);
3) (uchylony).
2. Koszty nadzoru netto obliczone zgodnie z ust. 1 podlegają podziałowi na koszty nadzoru netto każdej z grup, o których mowa w § 20, z wykorzystaniem procentowego udziału danej grupy w planowanych kosztach nadzoru netto w danym roku kalendarzowym, obliczanego zgodnie z § 20 ust. 3.
3. Koszty nadzoru netto poszczególnych grup, obliczone zgodnie z ust. 2, pomniejsza się o wartość opłat, o których mowa w:
1) § 2–14, § 16 ust. 1 oraz § 17 ust. 1 i 3,
2) art. 93a, art. 93b, art. 94a ust. 4 i art. 94b ust. 1 ustawy o ofercie publicznej,
3) (uchylony),
4) art. 236 ust. 2b–2d i 2g ustawy o funduszach inwestycyjnych,
5) art. 162 ust. 9–12 i art. 163 ust. 8 i 10–16 ustawy o obrocie instrumentami finansowymi
– wniesionych w poprzednim roku kalendarzowym, w części przypadającej na daną grupę, ustalonej z wykorzystaniem procentowego udziału danej grupy w planowanych kosztach nadzoru netto w danym roku kalendarzowym, obliczanego zgodnie z § 20 ust. 3.
§ 20. [Podział kosztów nadzoru netto] 1. Koszty nadzoru netto, obliczone zgodnie z § 19, podlegają podziałowi między:
1) grupę I – w skład której wchodzą spółki prowadzące:
a) rynek regulowany,
b) giełdę towarową;
2) grupę II – w skład której wchodzą:
a) Krajowy Depozyt,
b) spółki, niezależnie od tego, czy prowadzą działalność dla rynku regulowanego czy dla giełdy towarowej, prowadzące:
– izbę rozliczeniową oraz spółki, którym Krajowy Depozyt przekazał wykonywanie czynności z zakresu rozliczania transakcji,
– izbę rozrachunkową oraz spółki, którym Krajowy Depozyt przekazał wykonywanie czynności z zakresu rozrachunku transakcji,
– prowadzące izbę rozliczeniową i rozrachunkową, które wykonują funkcję giełdowej izby rozrachunkowej,
– giełdową izbę rozrachunkową;
3) grupę III – w skład której wchodzą:
a) domy maklerskie,
b) towarowe domy maklerskie;
4) grupę IV – w skład której wchodzą:
a) towarzystwa funduszy inwestycyjnych,
b) wewnętrznie zarządzający alternatywnymi spółkami inwestycyjnymi prowadzący działalność na podstawie zezwolenia,
c) zewnętrznie zarządzający alternatywnymi spółkami inwestycyjnymi prowadzący działalność na podstawie zezwolenia;
5) grupę V, w skład której wchodzą spółki publiczne, o których mowa w art. 94a ust. 1 ustawy o ofercie publicznej;
6) grupę VI – w skład której wchodzą:
a) zagraniczne firmy inwestycyjne prowadzące działalność maklerską na terytorium Rzeczypospolitej Polskiej w formie oddziału oraz zagraniczne osoby prawne prowadzące taką działalność na terytorium Rzeczypospolitej Polskiej,
b) zagraniczne osoby prawne, o których mowa w art. 50 ust. 1 ustawy o giełdach towarowych, prowadzące działalność na terytorium Rzeczypospolitej Polskiej w formie oddziału;
7) grupę VII – w skład której wchodzą dostawcy usług finansowania społecznościowego.
2. Wielkość udziału w kosztach nadzoru netto poszczególnych grup, o których mowa w ust. 1, w danym roku stanowi procentowy udział, obliczony zgodnie z ust. 3, przypadający na każdą grupę w całkowitej kwocie planowanych kosztów nadzoru netto do pokrycia w danym roku kalendarzowym ujętych w planie finansowym Urzędu Komisji Nadzoru Finansowego na dany rok kalendarzowy.
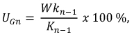
3. Procentowy udział dla danej grupy w danym roku kalendarzowym oblicza się z dokładnością do sześciu miejsc po przecinku według wzoru:

gdzie poszczególne symbole oznaczają:
UGn – procentowy udział danej grupy w planowanych kosztach nadzoru netto w danym roku kalendarzowym,
Wkn–1 – wykonane koszty nadzoru netto danej grupy w poprzednim roku kalendarzowym,
Kn–1 – koszty nadzoru netto wszystkich grup wykonane w poprzednim roku kalendarzowym, o których mowa w § 21 ust. 3.
§ 21. [Obliczanie opłaty rocznej] 1. Opłatę roczną należną od podmiotu (WNp) w danej grupie za dany rok kalendarzowy oblicza się według wzoru:
𝑊𝑁𝑝 = 𝑃𝑝 𝑥 𝑆𝐺𝑛,
gdzie poszczególne symbole oznaczają:
Pp – określoną w ustawie podstawę obliczenia opłaty rocznej należnej od danego podmiotu,
SGn – stawkę dla grupy, do której przypisany jest dany podmiot zgodnie z § 20, której wysokość jest obliczana zgodnie z ust. 2.
2. Stawkę (SGn) dla danej grupy w danym roku kalendarzowym oblicza się z dokładnością do sześciu miejsc po przecinku według wzoru:

gdzie poszczególne symbole oznaczają:
KGn – koszty nadzoru netto danej grupy do pokrycia w danym roku kalendarzowym, obliczane zgodnie z ust. 3,
PGn–1 – sumę kwot stanowiących podstawę obliczenia opłaty rocznej, należnej od podmiotów w danej grupie, które prowadziły działalność w ostatnim dniu poprzedniego roku kalendarzowego, ustalaną na podstawie zbadanych i zatwierdzonych sprawozdań finansowych za poprzedni rok, a w przypadku ich braku na podstawie deklaracji przekazanych zgodnie z § 24 ust. 2.
3. Koszty nadzoru netto dla danej grupy (KGn) w danym roku kalendarzowym oblicza się według wzoru:
𝐾𝐺𝑛 = (𝑃𝐾𝑛 - (𝑃𝐾𝑛-1 - 𝑊𝐾𝑛-1)) 𝑥 𝑈𝐺𝑛 - 𝑂𝐺𝑛-1,
gdzie poszczególne symbole oznaczają:
PKn – oznacza planowane koszty nadzoru, o których mowa w art. 19a ust. 2 pkt 1 ustawy o nadzorze, ujęte w planie finansowym Urzędu Komisji Nadzoru Finansowego na dany rok kalendarzowy, w części przypadającej na koszty nadzoru netto, do pokrycia w danym roku kalendarzowym,
PKn–1 – oznacza planowane koszty nadzoru, o których mowa w art. 19a ust. 2 pkt 1 ustawy o nadzorze, ujęte w planie finansowym Urzędu Komisji Nadzoru Finansowego na poprzedni rok kalendarzowy, w części przypadającej na koszty nadzoru netto,
WKn–1 – oznacza wykonane koszty nadzoru, o których mowa w art. 19a ust. 2 pkt 1 ustawy o nadzorze, ujęte w planie finansowym Urzędu Komisji Nadzoru Finansowego na poprzedni rok kalendarzowy, w części przypadającej na koszty nadzoru netto,
OGn–1 – wartość opłat, o których mowa w § 19 ust. 3, wniesionych w poprzednim roku kalendarzowym w części przypadającej na daną grupę.
4. Poszczególne kwoty, o których mowa w ust. 3, oblicza się w zaokrągleniu do pełnych złotych.
5. W przypadku gdy wysokość opłaty rocznej należnej od danego podmiotu, obliczona zgodnie ze wzorem, o którym mowa w ust. 1, jest:
1) wyższa niż maksymalna wysokość opłaty określona w ustawie, za wysokość należnej w danym roku opłaty przyjmuje się maksymalną wysokość określoną w ustawie;
2) niższa niż minimalna wysokość opłaty określona w ustawie, za wysokość należnej w danym roku opłaty przyjmuje się minimalną wysokość określoną w ustawie.
6. Podmioty, o których mowa w § 20 ust. 1 pkt 6, do dnia 30 lipca danego roku kalendarzowego, przekazują Komisji potwierdzoną za zgodność z oryginałem kopię deklaracji o wysokości podatku dochodowego od osób prawnych za rok poprzedni.
7. Deklaracja, o której mowa w ust. 6, może być składana przy użyciu usługi elektronicznej udostępnionej nieodpłatnie za pośrednictwem strony internetowej Urzędu Komisji Nadzoru Finansowego albo w postaci dokumentu elektronicznego w rozumieniu ustawy z dnia 17 lutego 2005 r. o informatyzacji działalności podmiotów realizujących zadania publiczne (Dz. U. z 2025 r. poz. 1703) wraz z urzędowym poświadczeniem odbioru wydanym przez elektroniczną skrzynkę podawczą systemu teleinformatycznego administracji skarbowej przy złożeniu takiego dokumentu do właściwego organu podatkowego.
§ 22. [Opłaty wyrażone w euro] 1. Równowartość w złotych kwot opłat wyrażonych w euro oblicza się przy zastosowaniu średniego kursu euro ogłaszanego przez Narodowy Bank Polski na ostatni dzień roboczy roku poprzedzającego rok kalendarzowy, w którym powstało zobowiązanie.
2. W przypadku gdy w sprawozdaniu finansowym, o którym mowa w art. 94a ustawy o ofercie publicznej, kapitał własny jest wyrażony w innej walucie niż waluta polska, jego wysokość oblicza się przy zastosowaniu średniego kursu tej waluty ogłaszanego przez Narodowy Bank Polski na dzień bilansowy przedmiotowego sprawozdania finansowego.
§ 23. [Informacje podane do publicznej wiadomości] Do dnia 31 sierpnia danego roku kalendarzowego, Przewodniczący Komisji Nadzoru Finansowego podaje do publicznej wiadomości, w drodze komunikatu ogłaszanego w Dzienniku Urzędowym Komisji Nadzoru Finansowego:
1) wysokość kosztów nadzoru netto do pokrycia w danym roku kalendarzowym, ze wskazaniem wartości poszczególnych zmiennych, o których mowa w § 21 ust. 3, odrębnie dla każdej z grup;
2) procentowy udział w planowanych kosztach nadzoru netto, o którym mowa w § 20 ust. 3, dla każdej grupy w danym roku kalendarzowym;
3) wysokość obowiązującej w danym roku stawki, o której mowa w § 21 ust. 2, dla każdej z grup;
4) wysokość kosztów nadzoru netto do pokrycia w danym roku kalendarzowym ogółem;
5) sumę kwot za poprzedni rok kalendarzowy, stanowiących podstawę obliczenia opłaty rocznej, należnej od podmiotów w danej grupie, które prowadziły działalność w ostatnim dniu poprzedniego roku kalendarzowego.
§ 24. [Termin uiszczenia rocznej opłaty] 1. Podmioty, o których mowa w § 20, opłatę roczną należną za dany rok uiszczają w terminie do dnia 30 września danego roku kalendarzowego.
2. W terminie nie dłuższym niż 10 dni od dnia upływu terminu uiszczenia opłaty, o której mowa w ust. 1, podmiot przekazuje Komisji deklarację o wniesionej opłacie rocznej zawierającą:
1) nazwę podmiotu i numer identyfikacji podatkowej (NIP);
2) określenie rodzaju podmiotu lub działalności, z tytułu której jest wnoszona opłata;
3) wskazanie numeru grupy, do której przypisany jest podmiot;
4) kwotę należnej za dany rok opłaty wraz ze wskazaniem kwoty stanowiącej podstawę jej obliczenia;
5) kwotę wpłaty dokonanej na rachunek bankowy Urzędu Komisji Nadzoru Finansowego;
6) datę dokonania wpłaty, o której mowa w pkt 5;
7) podpis osoby upoważnionej do złożenia deklaracji.
3. Deklaracja, o której mowa w ust. 2, jest składana przy użyciu usługi elektronicznej udostępnionej nieodpłatnie za pośrednictwem strony internetowej Urzędu Komisji Nadzoru Finansowego.
4. Wzór deklaracji, o której mowa w ust. 2, określa załącznik do rozporządzenia.
§ 25. [Uiszczenie opłaty] Opłaty uiszcza się na rachunek bankowy Urzędu Komisji Nadzoru Finansowego.
§ 26. [Wejście w życie] Rozporządzenie wchodzi w życie z dniem 1 stycznia 2023 r.2)
1) Na dzień ogłoszenia obwieszczenia w Dzienniku Ustaw Rzeczypospolitej Polskiej działem administracji rządowej – instytucje finansowe kieruje Minister Finansów i Gospodarki, na podstawie § 1 ust. 2 pkt 5 rozporządzenia Prezesa Rady Ministrów z dnia 25 lipca 2025 r. w sprawie szczegółowego zakresu działania Ministra Finansów i Gospodarki (Dz. U. poz. 997).
2) Niniejsze rozporządzenie było poprzedzone rozporządzeniem Ministra Finansów z dnia 17 grudnia 2019 r. w sprawie opłat na pokrycie kosztów nadzoru nad rynkiem kapitałowym (Dz. U. poz. 2486 oraz z 2021 r. poz. 2466), które utraciło moc z dniem wejścia w życie niniejszego rozporządzenia zgodnie z art. 92 pkt 1 ustawy z dnia 7 lipca 2022 r. o finansowaniu społecznościowym dla przedsięwzięć gospodarczych i pomocy kredytobiorcom (Dz. U. poz. 1488, 2180 i 2640).
Załącznik do rozporządzenia Ministra Finansów
z dnia 14 grudnia 2022 r. (Dz. U. z 2025 r. poz. 1761)
WZÓR - DEKLARACJA O OPŁACIE ROCZNEJ

Konsultanci pracują od poniedziałku do piątku w godzinach 8:00 - 17:00
